Get the free OMB No. 0925-0001/0002 (Rev. 08/12), Biographical Sketch ... - bio csmc
Show details
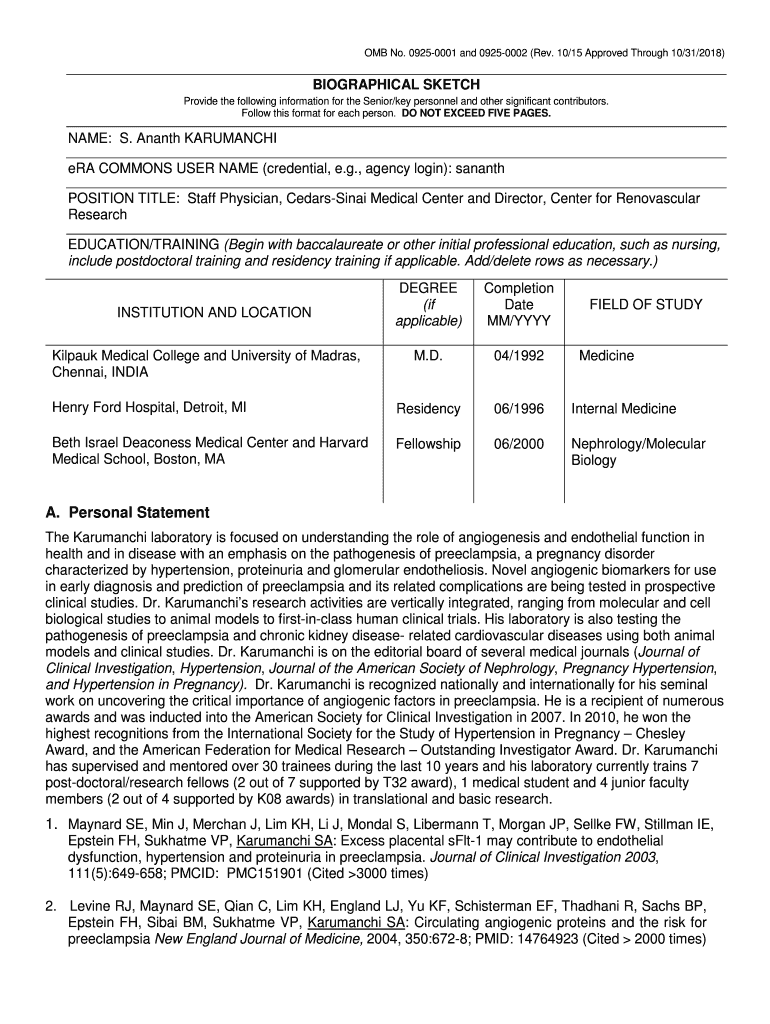
OMB No. 09250001 and 09250002 (Rev. 10/15 Approved Through 10/31/2018)BIOGRAPHICAL SKETCH
Provide the following information for the Senior/key personnel and other significant contributors.
Follow
We are not affiliated with any brand or entity on this form
Get, Create, Make and Sign omb no 0925-00010002 rev
Edit your omb no 0925-00010002 rev form online
Type text, complete fillable fields, insert images, highlight or blackout data for discretion, add comments, and more.
Add your legally-binding signature
Draw or type your signature, upload a signature image, or capture it with your digital camera.
Share your form instantly
Email, fax, or share your omb no 0925-00010002 rev form via URL. You can also download, print, or export forms to your preferred cloud storage service.
How to edit omb no 0925-00010002 rev online
To use our professional PDF editor, follow these steps:
1
Log in. Click Start Free Trial and create a profile if necessary.
2
Upload a file. Select Add New on your Dashboard and upload a file from your device or import it from the cloud, online, or internal mail. Then click Edit.
3
Edit omb no 0925-00010002 rev. Text may be added and replaced, new objects can be included, pages can be rearranged, watermarks and page numbers can be added, and so on. When you're done editing, click Done and then go to the Documents tab to combine, divide, lock, or unlock the file.
4
Get your file. Select the name of your file in the docs list and choose your preferred exporting method. You can download it as a PDF, save it in another format, send it by email, or transfer it to the cloud.
pdfFiller makes working with documents easier than you could ever imagine. Create an account to find out for yourself how it works!
Uncompromising security for your PDF editing and eSignature needs
Your private information is safe with pdfFiller. We employ end-to-end encryption, secure cloud storage, and advanced access control to protect your documents and maintain regulatory compliance.
How to fill out omb no 0925-00010002 rev
How to fill out omb no 0925-00010002 rev
01
To fill out the OMB No 0925-00010002 Rev form, follow these steps:
02
Start by reading the instructions provided with the form thoroughly.
03
Gather all the necessary information and documents that are required to complete the form.
04
Begin by entering your personal information in the designated fields, such as your name, address, and contact details.
05
Proceed to provide the specific details and data that the form requests. Take care to fill in each section accurately and completely.
06
Double-check your entries to ensure there are no errors or omissions.
07
If applicable, attach any supporting documents that are required along with the form.
08
Review the completed form one last time to ensure everything is filled out correctly.
09
Sign and date the form as required.
10
Submit the filled-out form as per the instructions provided.
Who needs omb no 0925-00010002 rev?
01
OMB No 0925-00010002 Rev is needed by individuals or organizations who are required to complete this specific form. The exact requirements for who needs to fill out this form can be found in the instructions or guidelines accompanying the form itself. It is advised to refer to those instructions or consult with the appropriate authorities to determine if you specifically need to submit OMB No 0925-00010002 Rev.
Fill
form
: Try Risk Free
For pdfFiller’s FAQs
Below is a list of the most common customer questions. If you can’t find an answer to your question, please don’t hesitate to reach out to us.
How can I modify omb no 0925-00010002 rev without leaving Google Drive?
It is possible to significantly enhance your document management and form preparation by combining pdfFiller with Google Docs. This will allow you to generate papers, amend them, and sign them straight from your Google Drive. Use the add-on to convert your omb no 0925-00010002 rev into a dynamic fillable form that can be managed and signed using any internet-connected device.
How do I execute omb no 0925-00010002 rev online?
pdfFiller has made it easy to fill out and sign omb no 0925-00010002 rev. You can use the solution to change and move PDF content, add fields that can be filled in, and sign the document electronically. Start a free trial of pdfFiller, the best tool for editing and filling in documents.
Can I edit omb no 0925-00010002 rev on an Android device?
The pdfFiller app for Android allows you to edit PDF files like omb no 0925-00010002 rev. Mobile document editing, signing, and sending. Install the app to ease document management anywhere.
What is omb no 0925-00010002 rev?
The OMB No 0925-00010002 rev is a control number assigned by the Office of Management and Budget for a specific form or information collection.
Who is required to file omb no 0925-00010002 rev?
The specific individuals or entities required to file OMB No 0925-00010002 rev depend on the form or information collection it pertains to.
How to fill out omb no 0925-00010002 rev?
Instructions on how to fill out OMB No 0925-00010002 rev can typically be found on the form itself or in accompanying guidance documents.
What is the purpose of omb no 0925-00010002 rev?
The purpose of OMB No 0925-00010002 rev is to collect specific information from individuals or entities for regulatory or reporting purposes.
What information must be reported on omb no 0925-00010002 rev?
The specific information that must be reported on OMB No 0925-00010002 rev will be outlined on the form itself.
Fill out your omb no 0925-00010002 rev online with pdfFiller!
pdfFiller is an end-to-end solution for managing, creating, and editing documents and forms in the cloud. Save time and hassle by preparing your tax forms online.
Omb No 0925-00010002 Rev is not the form you're looking for?Search for another form here.
Relevant keywords
Related Forms
If you believe that this page should be taken down, please follow our DMCA take down process
here
.
This form may include fields for payment information. Data entered in these fields is not covered by PCI DSS compliance.