
Get the free do you want a letter of recommendation - Bellevue School ...
Show details
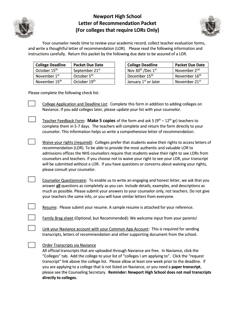
Newport High School
Letter of Recommendation Packet
(For colleges that require Loss Only)
Your counselor needs time to review your academic record, collect teacher evaluation forms,
and write a thoughtful
We are not affiliated with any brand or entity on this form
Get, Create, Make and Sign do you want a

Edit your do you want a form online
Type text, complete fillable fields, insert images, highlight or blackout data for discretion, add comments, and more.

Add your legally-binding signature
Draw or type your signature, upload a signature image, or capture it with your digital camera.

Share your form instantly
Email, fax, or share your do you want a form via URL. You can also download, print, or export forms to your preferred cloud storage service.
Editing do you want a online
Follow the steps down below to benefit from a competent PDF editor:
1
Set up an account. If you are a new user, click Start Free Trial and establish a profile.
2
Prepare a file. Use the Add New button to start a new project. Then, using your device, upload your file to the system by importing it from internal mail, the cloud, or adding its URL.
3
Edit do you want a. Add and change text, add new objects, move pages, add watermarks and page numbers, and more. Then click Done when you're done editing and go to the Documents tab to merge or split the file. If you want to lock or unlock the file, click the lock or unlock button.
4
Save your file. Select it in the list of your records. Then, move the cursor to the right toolbar and choose one of the available exporting methods: save it in multiple formats, download it as a PDF, send it by email, or store it in the cloud.
pdfFiller makes working with documents easier than you could ever imagine. Register for an account and see for yourself!
Uncompromising security for your PDF editing and eSignature needs
Your private information is safe with pdfFiller. We employ end-to-end encryption, secure cloud storage, and advanced access control to protect your documents and maintain regulatory compliance.
How to fill out do you want a

How to fill out do you want a
01
Start by obtaining a do you want a form from the appropriate source.
02
Read the instructions carefully before filling out the form.
03
Provide your personal information accurately in the designated fields.
04
Answer each question on the form as truthfully as possible.
05
If there are any sections or questions that are not applicable to you, mark them as 'N/A' or 'not applicable'.
06
Double-check your answers and make sure all information is complete and accurate.
07
Sign and date the form as required.
08
Submit the filled-out form to the designated authority or organization as instructed.
09
Keep a copy of the filled-out form for your records.
Who needs do you want a?
01
Anyone who is required or wishes to acquire a do you want a should fill out the form.
Fill
form
: Try Risk Free
For pdfFiller’s FAQs
Below is a list of the most common customer questions. If you can’t find an answer to your question, please don’t hesitate to reach out to us.
How can I get do you want a?
The premium subscription for pdfFiller provides you with access to an extensive library of fillable forms (over 25M fillable templates) that you can download, fill out, print, and sign. You won’t have any trouble finding state-specific do you want a and other forms in the library. Find the template you need and customize it using advanced editing functionalities.
How do I make edits in do you want a without leaving Chrome?
Install the pdfFiller Chrome Extension to modify, fill out, and eSign your do you want a, which you can access right from a Google search page. Fillable documents without leaving Chrome on any internet-connected device.
How do I fill out do you want a using my mobile device?
Use the pdfFiller mobile app to fill out and sign do you want a on your phone or tablet. Visit our website to learn more about our mobile apps, how they work, and how to get started.
Fill out your do you want a online with pdfFiller!
pdfFiller is an end-to-end solution for managing, creating, and editing documents and forms in the cloud. Save time and hassle by preparing your tax forms online.

Do You Want A is not the form you're looking for?Search for another form here.
Relevant keywords
Related Forms
If you believe that this page should be taken down, please follow our DMCA take down process
here
.
This form may include fields for payment information. Data entered in these fields is not covered by PCI DSS compliance.