
Get the free South Coast Hospice & Palliative Care Services, Inc. Social ...
Show details
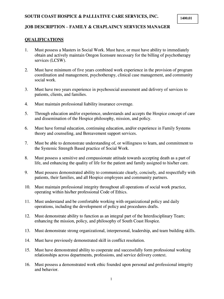
SOUTH COAST HOSPICE & PALLIATIVE CARE SERVICES, INC.1400.01JOB DESCRIPTION FAMILY & CHAPLAINCY SERVICES MANAGER QUALIFICATIONS 1. Must possess a Masters in Social Work. Must have, or must have ability
We are not affiliated with any brand or entity on this form
Get, Create, Make and Sign south coast hospice ampamp

Edit your south coast hospice ampamp form online
Type text, complete fillable fields, insert images, highlight or blackout data for discretion, add comments, and more.

Add your legally-binding signature
Draw or type your signature, upload a signature image, or capture it with your digital camera.

Share your form instantly
Email, fax, or share your south coast hospice ampamp form via URL. You can also download, print, or export forms to your preferred cloud storage service.
How to edit south coast hospice ampamp online
Use the instructions below to start using our professional PDF editor:
1
Create an account. Begin by choosing Start Free Trial and, if you are a new user, establish a profile.
2
Upload a document. Select Add New on your Dashboard and transfer a file into the system in one of the following ways: by uploading it from your device or importing from the cloud, web, or internal mail. Then, click Start editing.
3
Edit south coast hospice ampamp. Rearrange and rotate pages, insert new and alter existing texts, add new objects, and take advantage of other helpful tools. Click Done to apply changes and return to your Dashboard. Go to the Documents tab to access merging, splitting, locking, or unlocking functions.
4
Get your file. Select your file from the documents list and pick your export method. You may save it as a PDF, email it, or upload it to the cloud.
With pdfFiller, it's always easy to deal with documents. Try it right now
Uncompromising security for your PDF editing and eSignature needs
Your private information is safe with pdfFiller. We employ end-to-end encryption, secure cloud storage, and advanced access control to protect your documents and maintain regulatory compliance.
How to fill out south coast hospice ampamp

How to fill out south coast hospice ampamp
01
To fill out the south coast hospice AMP, follow these steps:
02
Start by obtaining the AMP form from the south coast hospice office or their website.
03
Read the form carefully to understand the information required.
04
Fill in the personal details section, including your name, address, contact information, and any other relevant information.
05
Provide details about the patient who needs hospice care, including their name, medical condition, and any specific requirements.
06
Specify the services needed, such as pain management, counseling, or specialized medical equipment.
07
Include any additional information or requests that may be important for the hospice team to know.
08
Sign and date the form to certify the accuracy of the information provided.
09
Submit the completed form to the south coast hospice office either in person or through mail as per their instructions.
10
Keep a copy of the filled-out form for your records.
Who needs south coast hospice ampamp?
01
South coast hospice AMP is intended for individuals who require specialized end-of-life care.
02
This includes patients with terminal illnesses, chronic conditions, or those in need of palliative care.
03
It is also for individuals who may benefit from counseling services, pain management, or additional support during their final stages of life.
04
Family members or legal representatives of eligible patients may also need to be involved in the process.
Fill
form
: Try Risk Free
For pdfFiller’s FAQs
Below is a list of the most common customer questions. If you can’t find an answer to your question, please don’t hesitate to reach out to us.
How do I modify my south coast hospice ampamp in Gmail?
You may use pdfFiller's Gmail add-on to change, fill out, and eSign your south coast hospice ampamp as well as other documents directly in your inbox by using the pdfFiller add-on for Gmail. pdfFiller for Gmail may be found on the Google Workspace Marketplace. Use the time you would have spent dealing with your papers and eSignatures for more vital tasks instead.
How can I modify south coast hospice ampamp without leaving Google Drive?
By integrating pdfFiller with Google Docs, you can streamline your document workflows and produce fillable forms that can be stored directly in Google Drive. Using the connection, you will be able to create, change, and eSign documents, including south coast hospice ampamp, all without having to leave Google Drive. Add pdfFiller's features to Google Drive and you'll be able to handle your documents more effectively from any device with an internet connection.
How do I edit south coast hospice ampamp in Chrome?
Install the pdfFiller Chrome Extension to modify, fill out, and eSign your south coast hospice ampamp, which you can access right from a Google search page. Fillable documents without leaving Chrome on any internet-connected device.
What is south coast hospice ampamp?
South Coast Hospice & Palliative Care is a non-profit organization that provides end-of-life care and support services to patients and their families in the South Coast region.
Who is required to file south coast hospice ampamp?
South Coast Hospice & Palliative Care is required to file annual reports and financial statements with the relevant authorities.
How to fill out south coast hospice ampamp?
To fill out South Coast Hospice & Palliative Care forms, you need to provide accurate and up-to-date information about the organization's activities and finances.
What is the purpose of south coast hospice ampamp?
The purpose of South Coast Hospice & Palliative Care is to provide compassionate care and support to individuals with life-limiting illnesses and their families.
What information must be reported on south coast hospice ampamp?
South Coast Hospice & Palliative Care must report financial data, programmatic activities, organizational structure, and any other relevant information.
Fill out your south coast hospice ampamp online with pdfFiller!
pdfFiller is an end-to-end solution for managing, creating, and editing documents and forms in the cloud. Save time and hassle by preparing your tax forms online.

South Coast Hospice Ampamp is not the form you're looking for?Search for another form here.
Relevant keywords
Related Forms
If you believe that this page should be taken down, please follow our DMCA take down process
here
.
This form may include fields for payment information. Data entered in these fields is not covered by PCI DSS compliance.