
Get the free Multi - purpose test pen test clip capacitance table pen ...
Show details
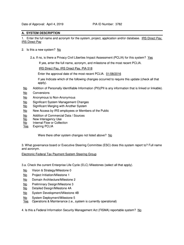
Date of Approval: April 4, 2019PIA ID Number: 3782A. SYSTEM DESCRIPTION
1. Enter the full name and acronym for the system, project, application and/or database. IRS Direct Pay,
IRS Direct Pay
2. Is
We are not affiliated with any brand or entity on this form
Get, Create, Make and Sign multi - purpose test

Edit your multi - purpose test form online
Type text, complete fillable fields, insert images, highlight or blackout data for discretion, add comments, and more.

Add your legally-binding signature
Draw or type your signature, upload a signature image, or capture it with your digital camera.

Share your form instantly
Email, fax, or share your multi - purpose test form via URL. You can also download, print, or export forms to your preferred cloud storage service.
How to edit multi - purpose test online
Follow the guidelines below to benefit from the PDF editor's expertise:
1
Log in to your account. Click on Start Free Trial and sign up a profile if you don't have one yet.
2
Prepare a file. Use the Add New button to start a new project. Then, using your device, upload your file to the system by importing it from internal mail, the cloud, or adding its URL.
3
Edit multi - purpose test. Rearrange and rotate pages, add new and changed texts, add new objects, and use other useful tools. When you're done, click Done. You can use the Documents tab to merge, split, lock, or unlock your files.
4
Get your file. When you find your file in the docs list, click on its name and choose how you want to save it. To get the PDF, you can save it, send an email with it, or move it to the cloud.
With pdfFiller, it's always easy to work with documents. Try it!
Uncompromising security for your PDF editing and eSignature needs
Your private information is safe with pdfFiller. We employ end-to-end encryption, secure cloud storage, and advanced access control to protect your documents and maintain regulatory compliance.
How to fill out multi - purpose test

How to fill out multi - purpose test
01
Start by reading the instructions for the multi-purpose test carefully.
02
Gather all the necessary materials, such as a pencil, eraser, and any other tools or resources mentioned in the instructions.
03
Begin by filling out the personal information section, which may include your name, date, and any other required details.
04
Move on to the multiple-choice section, if applicable. Read each question carefully and select the most appropriate answer.
05
If there are any open-ended questions, make sure to provide clear and concise responses.
06
Take your time and double-check your answers before submitting the test. Ensure that you have filled out all the required sections.
07
Review your test to ensure accuracy and completeness.
08
Finally, submit the test as instructed by your teacher, invigilator, or the test administrator.
Who needs multi - purpose test?
01
The multi-purpose test can be useful for various individuals or groups, including students, job applicants, researchers, and professionals seeking to assess their knowledge or skills in a specific area.
02
Educational institutions may also administer multi-purpose tests to evaluate the learning progress of their students or to provide certification for particular courses or programs.
03
Additionally, some organizations or industries may require potential candidates to take a multi-purpose test as part of their selection process or to determine eligibility for certain positions or opportunities.
04
Ultimately, anyone who wishes to gauge their understanding and abilities in a particular subject or field may benefit from taking a multi-purpose test.
Fill
form
: Try Risk Free
For pdfFiller’s FAQs
Below is a list of the most common customer questions. If you can’t find an answer to your question, please don’t hesitate to reach out to us.
How can I modify multi - purpose test without leaving Google Drive?
By combining pdfFiller with Google Docs, you can generate fillable forms directly in Google Drive. No need to leave Google Drive to make edits or sign documents, including multi - purpose test. Use pdfFiller's features in Google Drive to handle documents on any internet-connected device.
How do I make edits in multi - purpose test without leaving Chrome?
Add pdfFiller Google Chrome Extension to your web browser to start editing multi - purpose test and other documents directly from a Google search page. The service allows you to make changes in your documents when viewing them in Chrome. Create fillable documents and edit existing PDFs from any internet-connected device with pdfFiller.
How can I edit multi - purpose test on a smartphone?
The pdfFiller apps for iOS and Android smartphones are available in the Apple Store and Google Play Store. You may also get the program at https://edit-pdf-ios-android.pdffiller.com/. Open the web app, sign in, and start editing multi - purpose test.
What is multi-purpose test?
A multi-purpose test is a versatile assessment that can be used in a variety of contexts to test different skills or abilities.
Who is required to file multi-purpose test?
Anyone who needs to assess multiple skills or abilities in a single test may be required to file a multi-purpose test.
How to fill out multi-purpose test?
To fill out a multi-purpose test, carefully read the instructions provided and answer each section accurately.
What is the purpose of multi-purpose test?
The purpose of a multi-purpose test is to efficiently assess a range of skills or abilities in one assessment.
What information must be reported on multi-purpose test?
The information that must be reported on a multi-purpose test will vary depending on the specific skills or abilities being assessed.
Fill out your multi - purpose test online with pdfFiller!
pdfFiller is an end-to-end solution for managing, creating, and editing documents and forms in the cloud. Save time and hassle by preparing your tax forms online.

Multi - Purpose Test is not the form you're looking for?Search for another form here.
Relevant keywords
Related Forms
If you believe that this page should be taken down, please follow our DMCA take down process
here
.
This form may include fields for payment information. Data entered in these fields is not covered by PCI DSS compliance.