Get the free Nursing Program Online Application - American River College
Show details
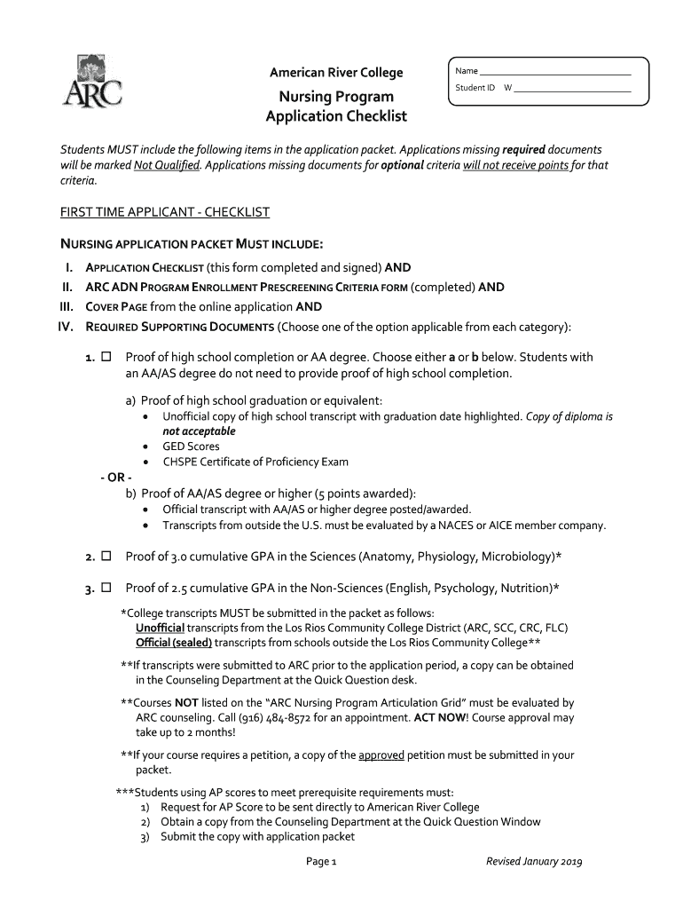
American River CollegeNursing Program Application ChecklistName Student ID Students MUST include the following items in the application packet. Applications missing required documents will be marked
We are not affiliated with any brand or entity on this form
Get, Create, Make and Sign nursing program online application
Edit your nursing program online application form online
Type text, complete fillable fields, insert images, highlight or blackout data for discretion, add comments, and more.
Add your legally-binding signature
Draw or type your signature, upload a signature image, or capture it with your digital camera.
Share your form instantly
Email, fax, or share your nursing program online application form via URL. You can also download, print, or export forms to your preferred cloud storage service.
Editing nursing program online application online
Follow the guidelines below to take advantage of the professional PDF editor:
1
Log in. Click Start Free Trial and create a profile if necessary.
2
Upload a document. Select Add New on your Dashboard and transfer a file into the system in one of the following ways: by uploading it from your device or importing from the cloud, web, or internal mail. Then, click Start editing.
3
Edit nursing program online application. Rearrange and rotate pages, insert new and alter existing texts, add new objects, and take advantage of other helpful tools. Click Done to apply changes and return to your Dashboard. Go to the Documents tab to access merging, splitting, locking, or unlocking functions.
4
Save your file. Select it from your records list. Then, click the right toolbar and select one of the various exporting options: save in numerous formats, download as PDF, email, or cloud.
pdfFiller makes working with documents easier than you could ever imagine. Register for an account and see for yourself!
Uncompromising security for your PDF editing and eSignature needs
Your private information is safe with pdfFiller. We employ end-to-end encryption, secure cloud storage, and advanced access control to protect your documents and maintain regulatory compliance.
How to fill out nursing program online application
How to fill out nursing program online application
01
Step 1: Go to the website of the nursing program that you wish to apply for.
02
Step 2: Read through all the instructions and requirements for the online application.
03
Step 3: Gather all the necessary documents and information that may be required, such as your educational history, work experience, and personal statements.
04
Step 4: Create an account or login to your existing account on the nursing program's website.
05
Step 5: Locate the online application form and begin filling it out.
06
Step 6: Provide accurate and detailed information in each section of the application.
07
Step 7: Upload any required documents, such as transcripts or resumes, as specified in the instructions.
08
Step 8: Review the completed application form to ensure all information is accurate and complete.
09
Step 9: Submit the online application before the specified deadline.
10
Step 10: Wait for a confirmation email or notification from the nursing program regarding the status of your application.
11
Step 11: Follow up with any additional requirements or steps as instructed by the nursing program.
12
Step 12: Prepare for any interviews or tests that may be part of the application process.
13
Step 13: Await the final decision from the nursing program regarding your application.
Who needs nursing program online application?
01
Anyone who wishes to pursue a career in nursing and meet the qualifications for a nursing program may need to fill out a nursing program online application. This includes individuals who are interested in becoming a registered nurse, practical nurse, or advanced practice nurse. Nursing programs often require applicants to submit an online application to assess their eligibility and suitability for the program.
Fill
form
: Try Risk Free
For pdfFiller’s FAQs
Below is a list of the most common customer questions. If you can’t find an answer to your question, please don’t hesitate to reach out to us.
How do I complete nursing program online application online?
pdfFiller makes it easy to finish and sign nursing program online application online. It lets you make changes to original PDF content, highlight, black out, erase, and write text anywhere on a page, legally eSign your form, and more, all from one place. Create a free account and use the web to keep track of professional documents.
How can I edit nursing program online application on a smartphone?
Using pdfFiller's mobile-native applications for iOS and Android is the simplest method to edit documents on a mobile device. You may get them from the Apple App Store and Google Play, respectively. More information on the apps may be found here. Install the program and log in to begin editing nursing program online application.
How can I fill out nursing program online application on an iOS device?
Download and install the pdfFiller iOS app. Then, launch the app and log in or create an account to have access to all of the editing tools of the solution. Upload your nursing program online application from your device or cloud storage to open it, or input the document URL. After filling out all of the essential areas in the document and eSigning it (if necessary), you may save it or share it with others.
What is nursing program online application?
Nursing program online application is a digital form that must be completed by individuals seeking to apply for nursing programs online.
Who is required to file nursing program online application?
Prospective nursing students who wish to enroll in a nursing program online are required to file the nursing program online application.
How to fill out nursing program online application?
To fill out the nursing program online application, applicants must provide personal information, academic history, and any additional required documents specified by the institution offering the program.
What is the purpose of nursing program online application?
The purpose of the nursing program online application is to evaluate the qualifications and readiness of applicants for admission into the nursing program.
What information must be reported on nursing program online application?
Applicants must report personal details, educational background, work experience, references, and any other relevant information requested on the nursing program online application.
Fill out your nursing program online application online with pdfFiller!
pdfFiller is an end-to-end solution for managing, creating, and editing documents and forms in the cloud. Save time and hassle by preparing your tax forms online.
Nursing Program Online Application is not the form you're looking for?Search for another form here.
Relevant keywords
Related Forms
If you believe that this page should be taken down, please follow our DMCA take down process
here
.
This form may include fields for payment information. Data entered in these fields is not covered by PCI DSS compliance.