
Get the free bid documents - Bend Park and Recreation District - bid oregonstate
Show details
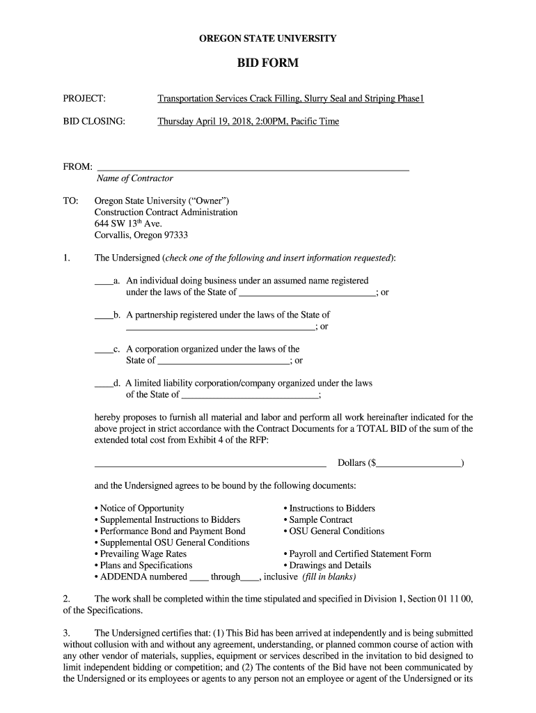
OREGON STATE UNIVERSITY BID FORM PROJECT:Transportation Services Crack Filling, Slurry Seal and Striping Phase1BID CLOSING:Thursday, April 19, 2018, 2:00PM, Pacific Timeframe: Name of Contractor TO:Oregon
We are not affiliated with any brand or entity on this form
Get, Create, Make and Sign bid documents - bend

Edit your bid documents - bend form online
Type text, complete fillable fields, insert images, highlight or blackout data for discretion, add comments, and more.

Add your legally-binding signature
Draw or type your signature, upload a signature image, or capture it with your digital camera.

Share your form instantly
Email, fax, or share your bid documents - bend form via URL. You can also download, print, or export forms to your preferred cloud storage service.
How to edit bid documents - bend online
To use our professional PDF editor, follow these steps:
1
Set up an account. If you are a new user, click Start Free Trial and establish a profile.
2
Prepare a file. Use the Add New button to start a new project. Then, using your device, upload your file to the system by importing it from internal mail, the cloud, or adding its URL.
3
Edit bid documents - bend. Add and change text, add new objects, move pages, add watermarks and page numbers, and more. Then click Done when you're done editing and go to the Documents tab to merge or split the file. If you want to lock or unlock the file, click the lock or unlock button.
4
Get your file. Select your file from the documents list and pick your export method. You may save it as a PDF, email it, or upload it to the cloud.
It's easier to work with documents with pdfFiller than you could have believed. You can sign up for an account to see for yourself.
Uncompromising security for your PDF editing and eSignature needs
Your private information is safe with pdfFiller. We employ end-to-end encryption, secure cloud storage, and advanced access control to protect your documents and maintain regulatory compliance.
How to fill out bid documents - bend

How to fill out bid documents - bend
01
Start by reviewing the bid documents provided by the organization requesting the bid.
02
Gather all the necessary information and documents required to complete the bid, such as company information, past experience, and financial statements.
03
Carefully read and understand the instructions provided in the bid documents.
04
Fill out the bid form or application form using accurate and compelling information.
05
Provide all the required supporting documents and attachments, ensuring they are properly labeled and organized.
06
Double-check the completed bid documents for any errors or missing information.
07
Submit the bid documents before the specified deadline, either electronically or physically, as mentioned in the bid instructions.
Who needs bid documents - bend?
01
Contractors, suppliers, or service providers interested in participating in the bidding process for a specific project in Bend.
Fill
form
: Try Risk Free
For pdfFiller’s FAQs
Below is a list of the most common customer questions. If you can’t find an answer to your question, please don’t hesitate to reach out to us.
How do I modify my bid documents - bend in Gmail?
In your inbox, you may use pdfFiller's add-on for Gmail to generate, modify, fill out, and eSign your bid documents - bend and any other papers you receive, all without leaving the program. Install pdfFiller for Gmail from the Google Workspace Marketplace by visiting this link. Take away the need for time-consuming procedures and handle your papers and eSignatures with ease.
How can I edit bid documents - bend on a smartphone?
The best way to make changes to documents on a mobile device is to use pdfFiller's apps for iOS and Android. You may get them from the Apple Store and Google Play. Learn more about the apps here. To start editing bid documents - bend, you need to install and log in to the app.
How do I fill out bid documents - bend using my mobile device?
Use the pdfFiller mobile app to complete and sign bid documents - bend on your mobile device. Visit our web page (https://edit-pdf-ios-android.pdffiller.com/) to learn more about our mobile applications, the capabilities you’ll have access to, and the steps to take to get up and running.
What is bid documents - bend?
Bid documents - bend are the formal documentation required to submit a bid for a project or contract.
Who is required to file bid documents - bend?
Any individual or company interested in submitting a bid for a project or contract is required to file bid documents - bend.
How to fill out bid documents - bend?
Bid documents - bend can be filled out by following the instructions provided in the tender documents or procurement guidelines.
What is the purpose of bid documents - bend?
The purpose of bid documents - bend is to provide a formal submission of a bid for a project or contract, outlining the terms and conditions of the bid.
What information must be reported on bid documents - bend?
Bid documents - bend typically include information such as pricing, terms and conditions, scope of work, and any other requirements specified in the tender documents.
Fill out your bid documents - bend online with pdfFiller!
pdfFiller is an end-to-end solution for managing, creating, and editing documents and forms in the cloud. Save time and hassle by preparing your tax forms online.

Bid Documents - Bend is not the form you're looking for?Search for another form here.
Relevant keywords
Related Forms
If you believe that this page should be taken down, please follow our DMCA take down process
here
.
This form may include fields for payment information. Data entered in these fields is not covered by PCI DSS compliance.