Get the free John T. Schueckler IV, D.O. - University of Rochester Medical ...
Show details
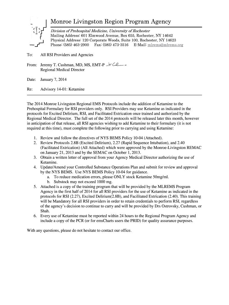
Monroe Livingston Region Program Agency
Division of Prehospital Medicine, University of RochesterMailing Address: 601 Elmwood Avenue, Box 655, Rochester, NY 14642
Physical Address: 120 Corporate Woods,
We are not affiliated with any brand or entity on this form
Get, Create, Make and Sign john t schueckler iv
Edit your john t schueckler iv form online
Type text, complete fillable fields, insert images, highlight or blackout data for discretion, add comments, and more.
Add your legally-binding signature
Draw or type your signature, upload a signature image, or capture it with your digital camera.
Share your form instantly
Email, fax, or share your john t schueckler iv form via URL. You can also download, print, or export forms to your preferred cloud storage service.
Editing john t schueckler iv online
Follow the guidelines below to benefit from a competent PDF editor:
1
Log into your account. If you don't have a profile yet, click Start Free Trial and sign up for one.
2
Prepare a file. Use the Add New button to start a new project. Then, using your device, upload your file to the system by importing it from internal mail, the cloud, or adding its URL.
3
Edit john t schueckler iv. Rearrange and rotate pages, add new and changed texts, add new objects, and use other useful tools. When you're done, click Done. You can use the Documents tab to merge, split, lock, or unlock your files.
4
Get your file. Select your file from the documents list and pick your export method. You may save it as a PDF, email it, or upload it to the cloud.
pdfFiller makes dealing with documents a breeze. Create an account to find out!
Uncompromising security for your PDF editing and eSignature needs
Your private information is safe with pdfFiller. We employ end-to-end encryption, secure cloud storage, and advanced access control to protect your documents and maintain regulatory compliance.
How to fill out john t schueckler iv
How to fill out john t schueckler iv
01
There are no specific instructions available on how to fill out John T Schueckler IV.
02
Please provide more context or specific information to assist you better.
Who needs john t schueckler iv?
01
The person who needs John T Schueckler IV would be the individual himself or someone who requires his personal information or documents.
Fill
form
: Try Risk Free
For pdfFiller’s FAQs
Below is a list of the most common customer questions. If you can’t find an answer to your question, please don’t hesitate to reach out to us.
Can I create an electronic signature for signing my john t schueckler iv in Gmail?
It's easy to make your eSignature with pdfFiller, and then you can sign your john t schueckler iv right from your Gmail inbox with the help of pdfFiller's add-on for Gmail. This is a very important point: You must sign up for an account so that you can save your signatures and signed documents.
How can I fill out john t schueckler iv on an iOS device?
Install the pdfFiller iOS app. Log in or create an account to access the solution's editing features. Open your john t schueckler iv by uploading it from your device or online storage. After filling in all relevant fields and eSigning if required, you may save or distribute the document.
How do I complete john t schueckler iv on an Android device?
Complete john t schueckler iv and other documents on your Android device with the pdfFiller app. The software allows you to modify information, eSign, annotate, and share files. You may view your papers from anywhere with an internet connection.
What is john t schueckler iv?
John T. Schueckler IV is a form used for reporting financial information to the government.
Who is required to file john t schueckler iv?
Individuals or entities that meet certain criteria set by the government are required to file John T. Schueckler IV.
How to fill out john t schueckler iv?
John T. Schueckler IV can be filled out online or by mail, following the instructions provided by the government.
What is the purpose of john t schueckler iv?
The purpose of John T. Schueckler IV is to provide the government with information about an individual's or entity's financial situation.
What information must be reported on john t schueckler iv?
John T. Schueckler IV requires the reporting of income, expenses, assets, and liabilities.
Fill out your john t schueckler iv online with pdfFiller!
pdfFiller is an end-to-end solution for managing, creating, and editing documents and forms in the cloud. Save time and hassle by preparing your tax forms online.
John T Schueckler Iv is not the form you're looking for?Search for another form here.
Relevant keywords
Related Forms
If you believe that this page should be taken down, please follow our DMCA take down process
here
.
This form may include fields for payment information. Data entered in these fields is not covered by PCI DSS compliance.