
Get the free THECB Proposal Form Doctoral degrees - Texas Woman's ...
Show details
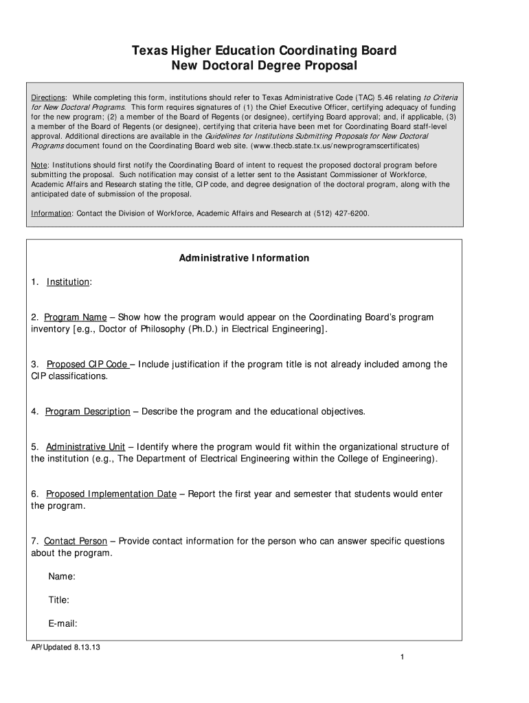
Texas Higher Education Coordinating Board
New Doctoral Degree Proposal
Directions: While completing this form, institutions should refer to Texas Administrative Code (TAC) 5.46 relating to Criteria
for
We are not affiliated with any brand or entity on this form
Get, Create, Make and Sign thecb proposal form doctoral

Edit your thecb proposal form doctoral form online
Type text, complete fillable fields, insert images, highlight or blackout data for discretion, add comments, and more.

Add your legally-binding signature
Draw or type your signature, upload a signature image, or capture it with your digital camera.

Share your form instantly
Email, fax, or share your thecb proposal form doctoral form via URL. You can also download, print, or export forms to your preferred cloud storage service.
Editing thecb proposal form doctoral online
Follow the steps down below to benefit from the PDF editor's expertise:
1
Log in. Click Start Free Trial and create a profile if necessary.
2
Prepare a file. Use the Add New button to start a new project. Then, using your device, upload your file to the system by importing it from internal mail, the cloud, or adding its URL.
3
Edit thecb proposal form doctoral. Replace text, adding objects, rearranging pages, and more. Then select the Documents tab to combine, divide, lock or unlock the file.
4
Save your file. Select it in the list of your records. Then, move the cursor to the right toolbar and choose one of the available exporting methods: save it in multiple formats, download it as a PDF, send it by email, or store it in the cloud.
With pdfFiller, dealing with documents is always straightforward. Try it now!
Uncompromising security for your PDF editing and eSignature needs
Your private information is safe with pdfFiller. We employ end-to-end encryption, secure cloud storage, and advanced access control to protect your documents and maintain regulatory compliance.
How to fill out thecb proposal form doctoral

How to fill out thecb proposal form doctoral
01
To fill out the thecb proposal form doctoral, follow these steps:
02
Start by providing your personal information such as name, address, contact details, and social security number.
03
Fill in your educational background, including the degrees earned, institutions attended, and dates of graduation.
04
Provide information about your proposed doctoral program, such as the area of study, research topic, and proposed timeline.
05
Indicate any previous research experience or published work related to your proposed doctoral program.
06
Include a detailed plan of study, including the courses you intend to take and the timeline for completion.
07
Specify any funding sources or financial aid you will be using to support your doctoral studies.
08
Attach any supporting documents required, such as transcripts, letters of recommendation, or a statement of purpose.
09
Review and double-check all the information provided to ensure accuracy.
10
Submit the completed thecb proposal form doctoral to the appropriate institution or organization as per their instructions.
Who needs thecb proposal form doctoral?
01
The thecb proposal form doctoral is needed by individuals who are applying for doctoral programs and require approval from the Texas Higher Education Coordinating Board (THECB). This form is specifically for those pursuing a doctoral degree in the state of Texas and is necessary to gain recognition and acceptance for their proposed program of study.
Fill
form
: Try Risk Free
For pdfFiller’s FAQs
Below is a list of the most common customer questions. If you can’t find an answer to your question, please don’t hesitate to reach out to us.
How can I modify thecb proposal form doctoral without leaving Google Drive?
People who need to keep track of documents and fill out forms quickly can connect PDF Filler to their Google Docs account. This means that they can make, edit, and sign documents right from their Google Drive. Make your thecb proposal form doctoral into a fillable form that you can manage and sign from any internet-connected device with this add-on.
How do I fill out thecb proposal form doctoral using my mobile device?
You can easily create and fill out legal forms with the help of the pdfFiller mobile app. Complete and sign thecb proposal form doctoral and other documents on your mobile device using the application. Visit pdfFiller’s webpage to learn more about the functionalities of the PDF editor.
How do I edit thecb proposal form doctoral on an Android device?
The pdfFiller app for Android allows you to edit PDF files like thecb proposal form doctoral. Mobile document editing, signing, and sending. Install the app to ease document management anywhere.
What is thecb proposal form doctoral?
The THECB proposal form for doctoral programs is a form used to propose new doctoral programs in the state of Texas.
Who is required to file thecb proposal form doctoral?
Institutions or universities looking to create new doctoral programs are required to file the THECB proposal form for doctoral programs.
How to fill out thecb proposal form doctoral?
The THECB proposal form for doctoral programs can be filled out by following the guidelines provided by the Texas Higher Education Coordinating Board.
What is the purpose of thecb proposal form doctoral?
The purpose of the THECB proposal form for doctoral programs is to ensure that new doctoral programs meet certain standards and requirements set by the state.
What information must be reported on thecb proposal form doctoral?
The THECB proposal form for doctoral programs requires information such as program details, curriculum, faculty qualifications, resources, and expected outcomes.
Fill out your thecb proposal form doctoral online with pdfFiller!
pdfFiller is an end-to-end solution for managing, creating, and editing documents and forms in the cloud. Save time and hassle by preparing your tax forms online.

Thecb Proposal Form Doctoral is not the form you're looking for?Search for another form here.
Relevant keywords
Related Forms
If you believe that this page should be taken down, please follow our DMCA take down process
here
.
This form may include fields for payment information. Data entered in these fields is not covered by PCI DSS compliance.