Get the free Arizona DD Form Disaster Recovery.docx
Show details
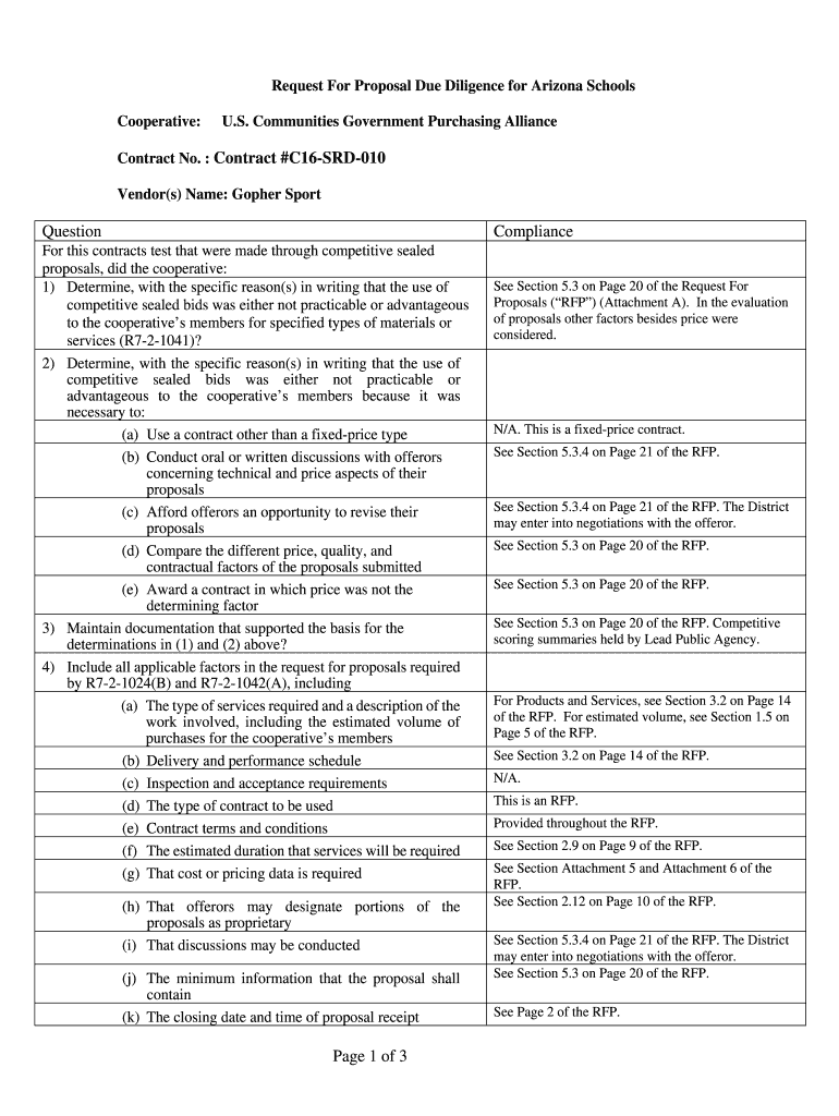
Request For Proposal Due Diligence for Arizona Schools
Cooperative:U.S. Communities Government Purchasing AllianceContract No. Contract #C16SRD010
Vendor(s) Name: Gopher SportQuestionComplianceFor
We are not affiliated with any brand or entity on this form
Get, Create, Make and Sign arizona dd form disaster
Edit your arizona dd form disaster form online
Type text, complete fillable fields, insert images, highlight or blackout data for discretion, add comments, and more.
Add your legally-binding signature
Draw or type your signature, upload a signature image, or capture it with your digital camera.
Share your form instantly
Email, fax, or share your arizona dd form disaster form via URL. You can also download, print, or export forms to your preferred cloud storage service.
How to edit arizona dd form disaster online
To use the services of a skilled PDF editor, follow these steps:
1
Create an account. Begin by choosing Start Free Trial and, if you are a new user, establish a profile.
2
Simply add a document. Select Add New from your Dashboard and import a file into the system by uploading it from your device or importing it via the cloud, online, or internal mail. Then click Begin editing.
3
Edit arizona dd form disaster. Rearrange and rotate pages, insert new and alter existing texts, add new objects, and take advantage of other helpful tools. Click Done to apply changes and return to your Dashboard. Go to the Documents tab to access merging, splitting, locking, or unlocking functions.
4
Save your file. Choose it from the list of records. Then, shift the pointer to the right toolbar and select one of the several exporting methods: save it in multiple formats, download it as a PDF, email it, or save it to the cloud.
pdfFiller makes working with documents easier than you could ever imagine. Create an account to find out for yourself how it works!
Uncompromising security for your PDF editing and eSignature needs
Your private information is safe with pdfFiller. We employ end-to-end encryption, secure cloud storage, and advanced access control to protect your documents and maintain regulatory compliance.
Fill
form
: Try Risk Free
For pdfFiller’s FAQs
Below is a list of the most common customer questions. If you can’t find an answer to your question, please don’t hesitate to reach out to us.
How can I modify arizona dd form disaster without leaving Google Drive?
By combining pdfFiller with Google Docs, you can generate fillable forms directly in Google Drive. No need to leave Google Drive to make edits or sign documents, including arizona dd form disaster. Use pdfFiller's features in Google Drive to handle documents on any internet-connected device.
Can I create an eSignature for the arizona dd form disaster in Gmail?
You can easily create your eSignature with pdfFiller and then eSign your arizona dd form disaster directly from your inbox with the help of pdfFiller’s add-on for Gmail. Please note that you must register for an account in order to save your signatures and signed documents.
Can I edit arizona dd form disaster on an iOS device?
Create, edit, and share arizona dd form disaster from your iOS smartphone with the pdfFiller mobile app. Installing it from the Apple Store takes only a few seconds. You may take advantage of a free trial and select a subscription that meets your needs.
What is arizona dd form disaster?
Arizona DD Form Disaster is a form used to report disaster-related information in the state of Arizona.
Who is required to file arizona dd form disaster?
Anyone who has been affected by a disaster in Arizona and has relevant information to report is required to file Arizona DD Form Disaster.
How to fill out arizona dd form disaster?
Arizona DD Form Disaster can be filled out online or submitted in person at designated locations. It requires information about the disaster, damages, and any assistance needed.
What is the purpose of arizona dd form disaster?
The purpose of Arizona DD Form Disaster is to gather information about disasters in Arizona to aid in disaster response and recovery efforts.
What information must be reported on arizona dd form disaster?
Information such as the type of disaster, extent of damages, number of affected individuals, and assistance needed must be reported on Arizona DD Form Disaster.
Fill out your arizona dd form disaster online with pdfFiller!
pdfFiller is an end-to-end solution for managing, creating, and editing documents and forms in the cloud. Save time and hassle by preparing your tax forms online.
Arizona Dd Form Disaster is not the form you're looking for?Search for another form here.
Relevant keywords
Related Forms
If you believe that this page should be taken down, please follow our DMCA take down process
here
.
This form may include fields for payment information. Data entered in these fields is not covered by PCI DSS compliance.