Get the free NON BULK COMPETITION (s87 CRA) FORM - Judicial ... - jac judiciary gov
Show details
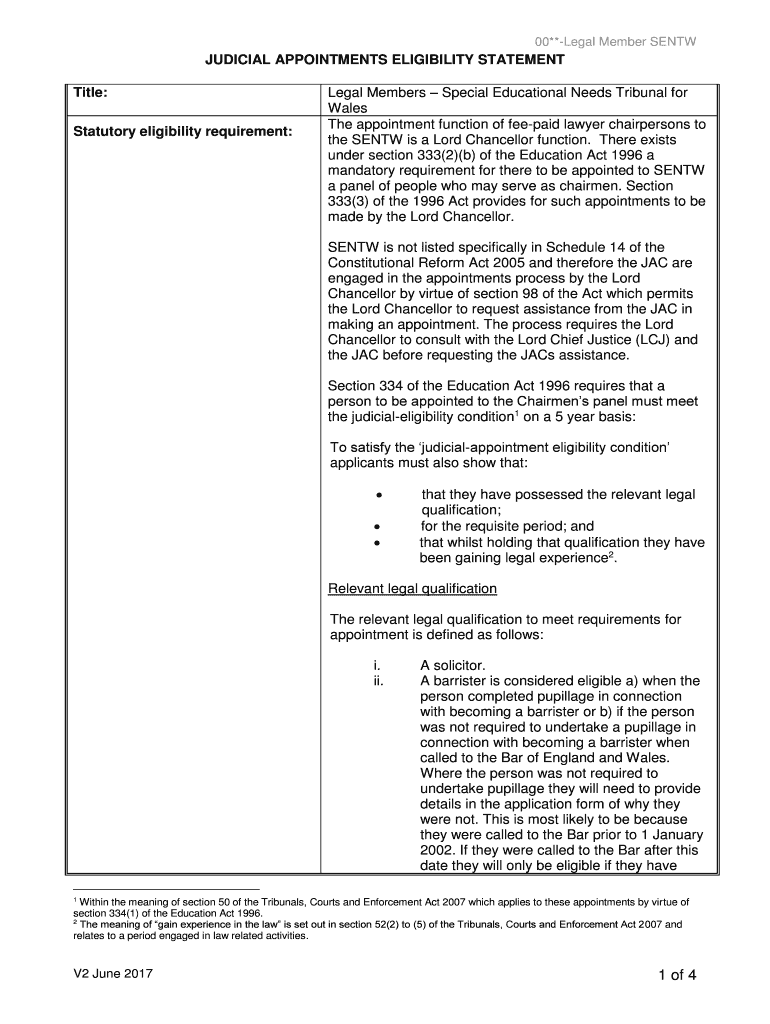
00**Legal Member SENTWJUDICIAL APPOINTMENTS ELIGIBILITY STATEMENT Title: Statutory eligibility requirement:Legal Members Special Educational Needs Tribunal for Wales The appointment function of fee
We are not affiliated with any brand or entity on this form
Get, Create, Make and Sign non bulk competition s87
Edit your non bulk competition s87 form online
Type text, complete fillable fields, insert images, highlight or blackout data for discretion, add comments, and more.
Add your legally-binding signature
Draw or type your signature, upload a signature image, or capture it with your digital camera.
Share your form instantly
Email, fax, or share your non bulk competition s87 form via URL. You can also download, print, or export forms to your preferred cloud storage service.
Editing non bulk competition s87 online
Follow the guidelines below to benefit from a competent PDF editor:
1
Create an account. Begin by choosing Start Free Trial and, if you are a new user, establish a profile.
2
Prepare a file. Use the Add New button to start a new project. Then, using your device, upload your file to the system by importing it from internal mail, the cloud, or adding its URL.
3
Edit non bulk competition s87. Rearrange and rotate pages, insert new and alter existing texts, add new objects, and take advantage of other helpful tools. Click Done to apply changes and return to your Dashboard. Go to the Documents tab to access merging, splitting, locking, or unlocking functions.
4
Get your file. When you find your file in the docs list, click on its name and choose how you want to save it. To get the PDF, you can save it, send an email with it, or move it to the cloud.
With pdfFiller, it's always easy to work with documents. Try it!
Uncompromising security for your PDF editing and eSignature needs
Your private information is safe with pdfFiller. We employ end-to-end encryption, secure cloud storage, and advanced access control to protect your documents and maintain regulatory compliance.
How to fill out non bulk competition s87
How to fill out non bulk competition s87
01
To fill out the non-bulk competition s87 form, follow these steps:
02
Start by obtaining a copy of the non-bulk competition s87 form.
03
Read the instructions carefully to understand the requirements and guidelines for filling out the form.
04
Begin by entering the relevant information in the designated fields, such as your name, contact details, and organization (if applicable).
05
Provide a clear description of the competition or event for which you are seeking exemption under s87.
06
Include any supporting documents or evidence that may strengthen your case for exemption.
07
Review the completed form to ensure all information is accurate and complete.
08
Sign and date the form in the specified sections.
09
Make a copy of the filled-out form for your records.
10
Submit the form as per the instructions provided, either by mail, fax, or online submission portal.
11
Follow up on the submission if necessary and keep track of any communications or notifications regarding your application.
Who needs non bulk competition s87?
01
The non-bulk competition s87 form is needed by individuals or organizations that wish to seek exemption from certain regulations or requirements for a specific competition or event. This may include event organizers, sports organizations, community groups, or businesses that believe they qualify for legal exemption under section 87.
Fill
form
: Try Risk Free
For pdfFiller’s FAQs
Below is a list of the most common customer questions. If you can’t find an answer to your question, please don’t hesitate to reach out to us.
How can I send non bulk competition s87 to be eSigned by others?
Once your non bulk competition s87 is ready, you can securely share it with recipients and collect eSignatures in a few clicks with pdfFiller. You can send a PDF by email, text message, fax, USPS mail, or notarize it online - right from your account. Create an account now and try it yourself.
Can I create an electronic signature for the non bulk competition s87 in Chrome?
As a PDF editor and form builder, pdfFiller has a lot of features. It also has a powerful e-signature tool that you can add to your Chrome browser. With our extension, you can type, draw, or take a picture of your signature with your webcam to make your legally-binding eSignature. Choose how you want to sign your non bulk competition s87 and you'll be done in minutes.
How do I edit non bulk competition s87 on an iOS device?
No, you can't. With the pdfFiller app for iOS, you can edit, share, and sign non bulk competition s87 right away. At the Apple Store, you can buy and install it in a matter of seconds. The app is free, but you will need to set up an account if you want to buy a subscription or start a free trial.
What is non bulk competition s87?
Non bulk competition s87 refers to a specific type of competition regulation that applies to non bulk products or services.
Who is required to file non bulk competition s87?
Any company or individual involved in non bulk competition activities may be required to file non bulk competition s87.
How to fill out non bulk competition s87?
To fill out non bulk competition s87, you must provide information about your non bulk products or services, market competition, pricing strategies, and other relevant data.
What is the purpose of non bulk competition s87?
The purpose of non bulk competition s87 is to ensure fair competition in the non bulk market and prevent anti-competitive practices.
What information must be reported on non bulk competition s87?
Information such as market share, pricing information, competition strategies, and any agreements with competitors must be reported on non bulk competition s87.
Fill out your non bulk competition s87 online with pdfFiller!
pdfFiller is an end-to-end solution for managing, creating, and editing documents and forms in the cloud. Save time and hassle by preparing your tax forms online.
Non Bulk Competition s87 is not the form you're looking for?Search for another form here.
Relevant keywords
Related Forms
If you believe that this page should be taken down, please follow our DMCA take down process
here
.
This form may include fields for payment information. Data entered in these fields is not covered by PCI DSS compliance.