Get the free Distinguished Budget Presentation Awards Program ... - GFOA
Show details
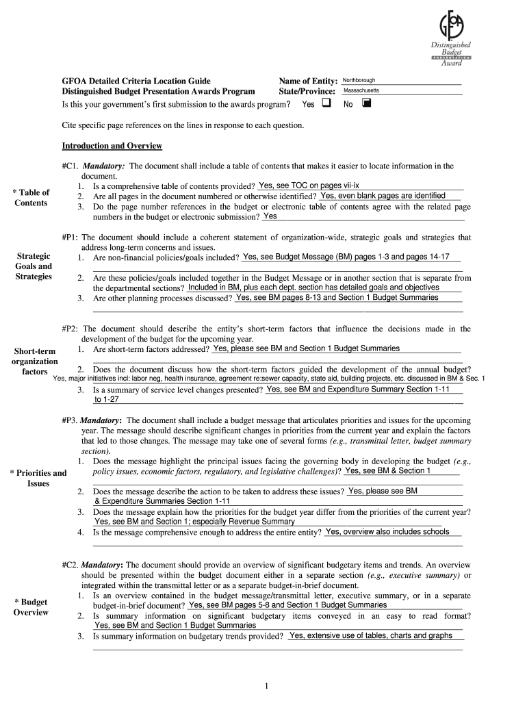
North borough GOA Detailed Criteria Location Guide Name of Entity: Massachusetts Distinguished Budget Presentation Awards Program State/Province: Is this your governments first submission to the awards
We are not affiliated with any brand or entity on this form
Get, Create, Make and Sign distinguished budget presentation awards
Edit your distinguished budget presentation awards form online
Type text, complete fillable fields, insert images, highlight or blackout data for discretion, add comments, and more.
Add your legally-binding signature
Draw or type your signature, upload a signature image, or capture it with your digital camera.
Share your form instantly
Email, fax, or share your distinguished budget presentation awards form via URL. You can also download, print, or export forms to your preferred cloud storage service.
Editing distinguished budget presentation awards online
In order to make advantage of the professional PDF editor, follow these steps below:
1
Log into your account. In case you're new, it's time to start your free trial.
2
Prepare a file. Use the Add New button to start a new project. Then, using your device, upload your file to the system by importing it from internal mail, the cloud, or adding its URL.
3
Edit distinguished budget presentation awards. Add and change text, add new objects, move pages, add watermarks and page numbers, and more. Then click Done when you're done editing and go to the Documents tab to merge or split the file. If you want to lock or unlock the file, click the lock or unlock button.
4
Get your file. When you find your file in the docs list, click on its name and choose how you want to save it. To get the PDF, you can save it, send an email with it, or move it to the cloud.
It's easier to work with documents with pdfFiller than you can have ever thought. You may try it out for yourself by signing up for an account.
Uncompromising security for your PDF editing and eSignature needs
Your private information is safe with pdfFiller. We employ end-to-end encryption, secure cloud storage, and advanced access control to protect your documents and maintain regulatory compliance.
How to fill out distinguished budget presentation awards
How to fill out distinguished budget presentation awards
01
To fill out distinguished budget presentation awards, follow these steps:
02
Gather all the necessary information about your budget presentation, such as financial statements, revenue and expense projections, and any relevant supporting documents.
03
Review the guidelines or criteria for the distinguished budget presentation awards to understand the specific requirements and evaluation criteria.
04
Organize your budget presentation in a clear and logical structure, ensuring that all components are well-defined and easy to understand.
05
Focus on presenting accurate and transparent financial information, highlighting key financial indicators and performance measures.
06
Use visual aids and charts to support your budget presentation and make it more engaging and accessible.
07
Pay attention to formatting and design, making sure the presentation is visually appealing and professional-looking.
08
Proofread and revise your budget presentation, checking for any errors or inconsistencies.
09
Practice delivering the budget presentation to ensure you can effectively convey your message and address any potential questions or concerns.
10
Submit your completed budget presentation for consideration in the distinguished budget presentation awards.
11
Follow up on the submission, if necessary, to obtain feedback or updates on the evaluation process.
Who needs distinguished budget presentation awards?
01
Distinguished budget presentation awards are typically sought by organizations and government agencies that want to demonstrate their commitment to transparency, accountability, and effective financial management.
02
This can include:
03
- Local government bodies
04
- Non-profit organizations
05
- Educational institutions
06
- Corporate entities
07
By receiving distinguished budget presentation awards, these organizations can enhance their reputation and credibility, attract potential investors or donors, and set a benchmark for financial excellence in their respective industries or sectors.
Fill
form
: Try Risk Free
People Also Ask about
What is the Excellence in Financial Reporting Award?
POWERGRID has been conferred with prestigious award “Silver Shield - ICAI Awards for Excellence in Financial Reporting” for the year 2021-22 in the category of “Infrastructure and Construction Sector (Turnover equal to or more than ₹500 crore)” by Institute of Chartered Accountants of India (ICAI).
What is a Pafr?
Popular Annual Financial Report (PAFR)
What does Gfoa mean?
The Government Finance Officers Association (GFOA), founded in 1906, represents public finance officials throughout the United States and Canada.
What is the GFOA Triple Crown?
GFOA's Triple Crown recognizes governments who have received GFOA's Certificate of Achievement for Excellence in Financial Reporting, Popular Annual Financial Reporting Award, and the Distinguished Budget Presentation Award.
What is the GFOA award?
GFOA's Awards for Excellence in Government Finance recognize innovative programs - contributions to the practice of government finance that exemplify outstanding financial management.
What is the deadline for GFOA budget award submission?
Deadline: GFOA submissions must be received within 90 days of the date when the budget was approved/adopted.
What is the GFOA Distinguished budget Presentation Award?
Established in 1984, GFOA Distinguished Budget Presentation Awards Program encourages local governments to prepare budget documents of the very highest quality.
How much does it cost to apply for the GFOA budget Award?
As GFOA members, they would have paid $575 to submit their budget book to the GFOA ($1,150 if they were non-members). Fun fact: Hamilton, OH is the proud recipient of a 2021 GFOA budget award! You can see their award-winning digital budget book created with ClearGov here. See the full fee schedule.
What is the significance of the Certificate of Achievement for Excellence in Financial Reporting?
This certificate is the highest form of recognition for excellence in state and local government in the area of governmental accounting and financial reporting. Its attainment represents a significant accomplishment by a government and its management.
What is a budget award?
The award represents a significant achievement by the entity. It reflects the commitment of the governing body and staff to meeting the highest principles of governmental budgeting. In order to receive the budget award, the entity had to satisfy nationally recognized guidelines for effective budget presentation.
For pdfFiller’s FAQs
Below is a list of the most common customer questions. If you can’t find an answer to your question, please don’t hesitate to reach out to us.
How can I send distinguished budget presentation awards for eSignature?
Once you are ready to share your distinguished budget presentation awards, you can easily send it to others and get the eSigned document back just as quickly. Share your PDF by email, fax, text message, or USPS mail, or notarize it online. You can do all of this without ever leaving your account.
How do I edit distinguished budget presentation awards online?
With pdfFiller, the editing process is straightforward. Open your distinguished budget presentation awards in the editor, which is highly intuitive and easy to use. There, you’ll be able to blackout, redact, type, and erase text, add images, draw arrows and lines, place sticky notes and text boxes, and much more.
How do I edit distinguished budget presentation awards on an iOS device?
Yes, you can. With the pdfFiller mobile app, you can instantly edit, share, and sign distinguished budget presentation awards on your iOS device. Get it at the Apple Store and install it in seconds. The application is free, but you will have to create an account to purchase a subscription or activate a free trial.
What is distinguished budget presentation awards?
The Distinguished Budget Presentation Awards program is an annual national recognition program for government organizations that produce a budget document that serves as a policy document, a financial plan, an operations guide, and a communications device.
Who is required to file distinguished budget presentation awards?
Government organizations are required to file for distinguished budget presentation awards if they wish to be considered for the recognition program.
How to fill out distinguished budget presentation awards?
The distinguished budget presentation awards application process typically includes submitting specific documents and meeting certain criteria set by the Government Finance Officers Association (GFOA).
What is the purpose of distinguished budget presentation awards?
The purpose of the distinguished budget presentation awards is to encourage and assist state and local governments to prepare budget documents of the highest quality.
What information must be reported on distinguished budget presentation awards?
The distinguished budget presentation awards typically require information such as budget goals, objectives, financial data, and transparency measures.
Fill out your distinguished budget presentation awards online with pdfFiller!
pdfFiller is an end-to-end solution for managing, creating, and editing documents and forms in the cloud. Save time and hassle by preparing your tax forms online.
Distinguished Budget Presentation Awards is not the form you're looking for?Search for another form here.
Relevant keywords
Related Forms
If you believe that this page should be taken down, please follow our DMCA take down process
here
.
This form may include fields for payment information. Data entered in these fields is not covered by PCI DSS compliance.