
Get the free SPAN-057 COOR ap030818
Show details
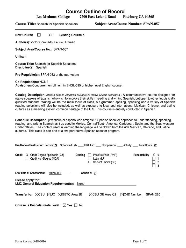
Course Outline of Record
Los Means College2700 East Leland Roadhouse Title: Spanish for Spanish Speakers I
Knew CourseORPittsburg CA 94565Subject Area/Course Number: SPAN057Existing Course Author(s):
We are not affiliated with any brand or entity on this form
Get, Create, Make and Sign span-057 coor ap030818

Edit your span-057 coor ap030818 form online
Type text, complete fillable fields, insert images, highlight or blackout data for discretion, add comments, and more.

Add your legally-binding signature
Draw or type your signature, upload a signature image, or capture it with your digital camera.

Share your form instantly
Email, fax, or share your span-057 coor ap030818 form via URL. You can also download, print, or export forms to your preferred cloud storage service.
How to edit span-057 coor ap030818 online
To use our professional PDF editor, follow these steps:
1
Create an account. Begin by choosing Start Free Trial and, if you are a new user, establish a profile.
2
Upload a document. Select Add New on your Dashboard and transfer a file into the system in one of the following ways: by uploading it from your device or importing from the cloud, web, or internal mail. Then, click Start editing.
3
Edit span-057 coor ap030818. Rearrange and rotate pages, add and edit text, and use additional tools. To save changes and return to your Dashboard, click Done. The Documents tab allows you to merge, divide, lock, or unlock files.
4
Save your file. Choose it from the list of records. Then, shift the pointer to the right toolbar and select one of the several exporting methods: save it in multiple formats, download it as a PDF, email it, or save it to the cloud.
With pdfFiller, dealing with documents is always straightforward.
Uncompromising security for your PDF editing and eSignature needs
Your private information is safe with pdfFiller. We employ end-to-end encryption, secure cloud storage, and advanced access control to protect your documents and maintain regulatory compliance.
How to fill out span-057 coor ap030818

How to fill out span-057 coor ap030818
01
Start by opening the span-057 coor ap030818 form.
02
Read the instructions carefully to understand the purpose of the form and the information required.
03
Begin by providing your personal details, such as your name, address, and contact information.
04
Fill in the relevant information in the designated fields, following the provided guidelines.
05
Double-check your entries to ensure accuracy and completeness.
06
If any sections are optional, decide whether you want to fill them out or leave them blank.
07
Once you have completed filling out the form, review it again to ensure all necessary information is provided.
08
Sign and date the form, if required.
09
Submit the completed form as instructed, either by hand delivery or through a specified method (e.g., mail, email).
Who needs span-057 coor ap030818?
01
Anyone who is required to provide information specified in the span-057 coor ap030818 form needs to fill it out.
02
This could include individuals applying for a specific service, benefit, or program, or anyone involved in a process that requires their information.
03
It is important to review the form's instructions or consult the relevant authority to determine if you are the intended recipient of the form.
Fill
form
: Try Risk Free
For pdfFiller’s FAQs
Below is a list of the most common customer questions. If you can’t find an answer to your question, please don’t hesitate to reach out to us.
How can I get span-057 coor ap030818?
It’s easy with pdfFiller, a comprehensive online solution for professional document management. Access our extensive library of online forms (over 25M fillable forms are available) and locate the span-057 coor ap030818 in a matter of seconds. Open it right away and start customizing it using advanced editing features.
How do I edit span-057 coor ap030818 online?
With pdfFiller, it's easy to make changes. Open your span-057 coor ap030818 in the editor, which is very easy to use and understand. When you go there, you'll be able to black out and change text, write and erase, add images, draw lines, arrows, and more. You can also add sticky notes and text boxes.
How can I fill out span-057 coor ap030818 on an iOS device?
pdfFiller has an iOS app that lets you fill out documents on your phone. A subscription to the service means you can make an account or log in to one you already have. As soon as the registration process is done, upload your span-057 coor ap030818. You can now use pdfFiller's more advanced features, like adding fillable fields and eSigning documents, as well as accessing them from any device, no matter where you are in the world.
What is span-057 coor ap030818?
span-057 coor ap030818 is a form used for reporting certain financial information to the authorities.
Who is required to file span-057 coor ap030818?
Entities or individuals meeting specific criteria set by the authorities are required to file span-057 coor ap030818.
How to fill out span-057 coor ap030818?
span-057 coor ap030818 should be filled out following the instructions provided by the authorities.
What is the purpose of span-057 coor ap030818?
The purpose of span-057 coor ap030818 is to gather relevant financial information for regulatory or compliance purposes.
What information must be reported on span-057 coor ap030818?
span-057 coor ap030818 typically requires reporting of income, expenses, and other financial data.
Fill out your span-057 coor ap030818 online with pdfFiller!
pdfFiller is an end-to-end solution for managing, creating, and editing documents and forms in the cloud. Save time and hassle by preparing your tax forms online.

Span-057 Coor ap030818 is not the form you're looking for?Search for another form here.
Relevant keywords
Related Forms
If you believe that this page should be taken down, please follow our DMCA take down process
here
.
This form may include fields for payment information. Data entered in these fields is not covered by PCI DSS compliance.