Get the free Statutory Authority: Implementing the Communicable Disease Report Act 745 ILCS
Show details
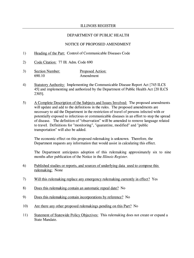
ILLINOIS REGISTER DEPARTMENT OF PUBLIC HEALTH NOTICE OF PROPOSED AMENDMENT 1)Heading of the Part: Control of Communicable Diseases Code2)Code Citation: 77 Ill. Adm. Code 6903)Section Number: 690.104)Statutory
We are not affiliated with any brand or entity on this form
Get, Create, Make and Sign statutory authority implementing form
Edit your statutory authority implementing form form online
Type text, complete fillable fields, insert images, highlight or blackout data for discretion, add comments, and more.
Add your legally-binding signature
Draw or type your signature, upload a signature image, or capture it with your digital camera.
Share your form instantly
Email, fax, or share your statutory authority implementing form form via URL. You can also download, print, or export forms to your preferred cloud storage service.
How to edit statutory authority implementing form online
Use the instructions below to start using our professional PDF editor:
1
Set up an account. If you are a new user, click Start Free Trial and establish a profile.
2
Prepare a file. Use the Add New button to start a new project. Then, using your device, upload your file to the system by importing it from internal mail, the cloud, or adding its URL.
3
Edit statutory authority implementing form. Replace text, adding objects, rearranging pages, and more. Then select the Documents tab to combine, divide, lock or unlock the file.
4
Save your file. Select it in the list of your records. Then, move the cursor to the right toolbar and choose one of the available exporting methods: save it in multiple formats, download it as a PDF, send it by email, or store it in the cloud.
Dealing with documents is simple using pdfFiller. Now is the time to try it!
Uncompromising security for your PDF editing and eSignature needs
Your private information is safe with pdfFiller. We employ end-to-end encryption, secure cloud storage, and advanced access control to protect your documents and maintain regulatory compliance.
How to fill out statutory authority implementing form
How to fill out statutory authority implementing form
01
To fill out the statutory authority implementing form, follow these steps:
02
Start by carefully reading the instructions provided on the form.
03
Identify the specific statutory authority that needs to be implemented.
04
Fill in your personal information or the information of the authorized representative.
05
Clearly state the purpose and objective of the statutory authority implementation.
06
Provide detailed information about the provisions and requirements of the statute.
07
Specify the timeframe and expected outcomes of the implementation.
08
Attach any necessary supporting documents, such as legal opinions or relevant reports.
09
Review the completed form for accuracy and completeness.
10
Sign and date the form.
11
Submit the form to the designated authority or office as instructed.
Who needs statutory authority implementing form?
01
The statutory authority implementing form is required by individuals or organizations
02
who are responsible for implementing specific statutory authorities.
03
This form is usually required by governmental agencies, legal departments,
04
or any entity tasked with implementing statutes, regulations, or laws.
Fill
form
: Try Risk Free
For pdfFiller’s FAQs
Below is a list of the most common customer questions. If you can’t find an answer to your question, please don’t hesitate to reach out to us.
Where do I find statutory authority implementing form?
It's simple using pdfFiller, an online document management tool. Use our huge online form collection (over 25M fillable forms) to quickly discover the statutory authority implementing form. Open it immediately and start altering it with sophisticated capabilities.
How do I edit statutory authority implementing form online?
With pdfFiller, the editing process is straightforward. Open your statutory authority implementing form in the editor, which is highly intuitive and easy to use. There, you’ll be able to blackout, redact, type, and erase text, add images, draw arrows and lines, place sticky notes and text boxes, and much more.
Can I create an electronic signature for signing my statutory authority implementing form in Gmail?
Use pdfFiller's Gmail add-on to upload, type, or draw a signature. Your statutory authority implementing form and other papers may be signed using pdfFiller. Register for a free account to preserve signed papers and signatures.
What is statutory authority implementing form?
The statutory authority implementing form is a document that outlines the legal basis for a government agency or organization to carry out a specific action.
Who is required to file statutory authority implementing form?
Government agencies or organizations that are planning to carry out a specific action that requires legal authorization must file the statutory authority implementing form.
How to fill out statutory authority implementing form?
The form typically requires information such as the title and description of the action being authorized, the legal citation for the authority granting permission, and any supporting documentation.
What is the purpose of statutory authority implementing form?
The purpose of the statutory authority implementing form is to provide transparency and accountability for government actions by clearly documenting the legal basis for those actions.
What information must be reported on statutory authority implementing form?
The form usually requires detailed information about the action being authorized, the legal basis for the authorization, and any supporting documentation that demonstrates the authority to act.
Fill out your statutory authority implementing form online with pdfFiller!
pdfFiller is an end-to-end solution for managing, creating, and editing documents and forms in the cloud. Save time and hassle by preparing your tax forms online.
Statutory Authority Implementing Form is not the form you're looking for?Search for another form here.
Relevant keywords
Related Forms
If you believe that this page should be taken down, please follow our DMCA take down process
here
.
This form may include fields for payment information. Data entered in these fields is not covered by PCI DSS compliance.