Form preview

Get the free O. Reg. 153/04: RECORDS OF SITE CONDITION - PART XV.1 ... - metchosin civicweb

Get Form
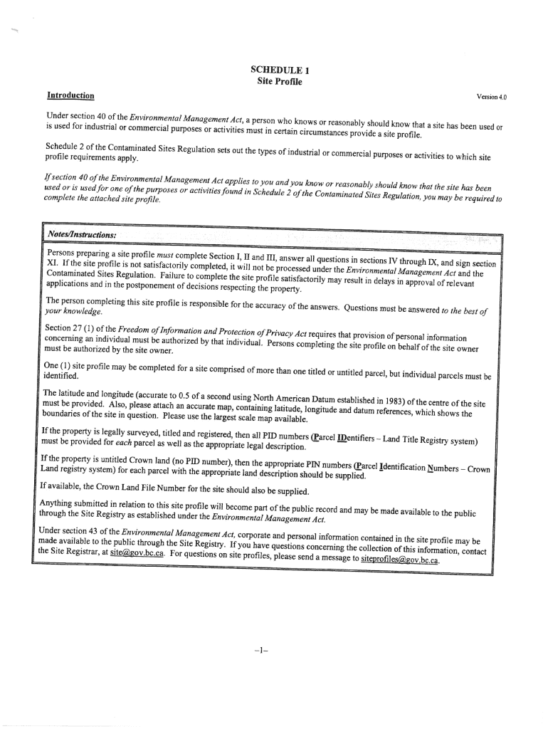
SCHEDULE 1 Site Pro?LE Introduction Under section 40 of the EnvironmentalManagementAct, a person who knows or reasonably should know that a site has been used or is used for industrial or commercial
We are not affiliated with any brand or entity on this form

Get, Create, Make and Sign o reg 15304 records

Edit
Edit your o reg 15304 records form online
Type text, complete fillable fields, insert images, highlight or blackout data for discretion, add comments, and more.
Add
Add your legally-binding signature
Draw or type your signature, upload a signature image, or capture it with your digital camera.
Share
Share your form instantly
Email, fax, or share your o reg 15304 records form via URL. You can also download, print, or export forms to your preferred cloud storage service.

How to edit o reg 15304 records online

9.5
Ease of Setup
pdfFiller User Ratings on G2
9.0
Ease of Use
pdfFiller User Ratings on G2
Use the instructions below to start using our professional PDF editor:
1
Register the account. Begin by clicking Start Free Trial and create a profile if you are a new user.
2
Upload a file. Select Add New on your Dashboard and upload a file from your device or import it from the cloud, online, or internal mail. Then click Edit.
3
Edit o reg 15304 records. Rearrange and rotate pages, add and edit text, and use additional tools. To save changes and return to your Dashboard, click Done. The Documents tab allows you to merge, divide, lock, or unlock files.
4
Get your file. When you find your file in the docs list, click on its name and choose how you want to save it. To get the PDF, you can save it, send an email with it, or move it to the cloud.
pdfFiller makes working with documents easier than you could ever imagine. Register for an account and see for yourself!

Uncompromising security for your PDF editing and eSignature needs

Your private information is safe with pdfFiller. We employ end-to-end encryption, secure cloud storage, and advanced access control to protect your documents and maintain regulatory compliance.
GDPR
AICPA SOC 2
PCI
HIPAA
CCPA
FDA

How to fill out o reg 15304 records

Illustration

How to fill out o reg 15304 records

01
To fill out O REG 15304 records, follow these steps:
02
Begin by collecting all relevant information and documents related to the record.
03
Start by entering the date and time of the record.
04
Provide details about the subject of the record, including their name, identification number, and any other relevant information.
05
Fill out the specific information required for the record, such as incidents, observations, or any other relevant data.
06
If applicable, include any supporting evidence or documents with the record.
07
Review the record for accuracy and completeness.
08
If necessary, obtain necessary signatures or approvals for the record.
09
Finally, store the completed record in a secure and organized manner for future reference.

Who needs o reg 15304 records?

01
O REG 15304 records are typically needed by organizations or individuals involved in regulatory compliance or record-keeping.
02
This may include government agencies, businesses, healthcare providers, law enforcement agencies, or any other entity that is required to maintain records in accordance with O REG 15304 regulations.
Fill form : Try Risk Free
Users Most Likely To Recommend - Summer 2025
Grid Leader in Small-Business - Summer 2025
High Performer - Summer 2025
Regional Leader - Summer 2025
Easiest To Do Business With - Summer 2025
Best Meets Requirements- Summer 2025
Rate the form
4.7
Satisfied
48 Votes

For pdfFiller’s FAQs

Below is a list of the most common customer questions. If you can’t find an answer to your question, please don’t hesitate to reach out to us.

With pdfFiller, an all-in-one online tool for professional document management, it's easy to fill out documents. Over 25 million fillable forms are available on our website, and you can find the o reg 15304 records in a matter of seconds. Open it right away and start making it your own with help from advanced editing tools.
You can. Using the pdfFiller iOS app, you can edit, distribute, and sign o reg 15304 records. Install it in seconds at the Apple Store. The app is free, but you must register to buy a subscription or start a free trial.
The pdfFiller app for Android allows you to edit PDF files like o reg 15304 records. Mobile document editing, signing, and sending. Install the app to ease document management anywhere.
O reg 15304 records refer to the specific records required to be kept by businesses in accordance with Ontario Regulation 153/04.
All businesses operating in Ontario that fall under the scope of Ontario Regulation 153/04 are required to file o reg 15304 records.
O reg 15304 records should be filled out by including all relevant information such as financial transactions, employee records, and operational details as outlined in the regulation.
The purpose of o reg 15304 records is to ensure businesses maintain accurate and comprehensive records for regulatory compliance and transparency.
Information such as financial transactions, employee details, and operational records must be reported on o reg 15304 records.
Fill out your o reg 15304 records online with pdfFiller!

pdfFiller is an end-to-end solution for managing, creating, and editing documents and forms in the cloud. Save time and hassle by preparing your tax forms online.

Get started now
Form preview
If you believe that this page should be taken down, please follow our DMCA take down process here .
This form may include fields for payment information. Data entered in these fields is not covered by PCI DSS compliance.