Get the free 1031 Exchange Downloadable Forms - First Midwest Bank - pacs arizona
Show details
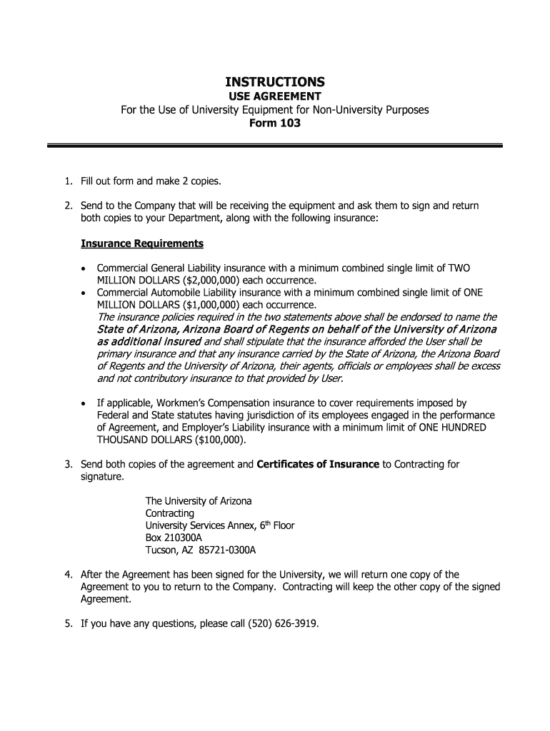
INSTRUCTION SUSE AGREEMENT For the Use of University Equipment for University Purposes Form 1031. Fill out form and make 2 copies. 2. Send to the Company that will be receiving the equipment and ask
We are not affiliated with any brand or entity on this form
Get, Create, Make and Sign 1031 exchange downloadable forms
Edit your 1031 exchange downloadable forms form online
Type text, complete fillable fields, insert images, highlight or blackout data for discretion, add comments, and more.
Add your legally-binding signature
Draw or type your signature, upload a signature image, or capture it with your digital camera.
Share your form instantly
Email, fax, or share your 1031 exchange downloadable forms form via URL. You can also download, print, or export forms to your preferred cloud storage service.
How to edit 1031 exchange downloadable forms online
To use the professional PDF editor, follow these steps:
1
Set up an account. If you are a new user, click Start Free Trial and establish a profile.
2
Prepare a file. Use the Add New button to start a new project. Then, using your device, upload your file to the system by importing it from internal mail, the cloud, or adding its URL.
3
Edit 1031 exchange downloadable forms. Replace text, adding objects, rearranging pages, and more. Then select the Documents tab to combine, divide, lock or unlock the file.
4
Save your file. Select it in the list of your records. Then, move the cursor to the right toolbar and choose one of the available exporting methods: save it in multiple formats, download it as a PDF, send it by email, or store it in the cloud.
pdfFiller makes dealing with documents a breeze. Create an account to find out!
Uncompromising security for your PDF editing and eSignature needs
Your private information is safe with pdfFiller. We employ end-to-end encryption, secure cloud storage, and advanced access control to protect your documents and maintain regulatory compliance.
How to fill out 1031 exchange downloadable forms
How to fill out 1031 exchange downloadable forms
01
To fill out 1031 exchange downloadable forms, follow these steps:
02
Obtain the necessary forms for the 1031 exchange. These forms can usually be downloaded from the IRS website or obtained from a qualified intermediary.
03
Review the instructions provided with the forms to ensure you understand the requirements and guidelines for completing the forms.
04
Gather all the required information and documentation related to the properties involved in the exchange. This may include property details, purchase and sale agreements, and financial information.
05
Begin filling out the forms by entering the relevant information in the designated fields. Follow the instructions carefully to ensure accuracy.
06
Double-check all the information entered for accuracy and completeness. Review the forms thoroughly before proceeding.
07
Sign and date the completed forms as required. Make sure to use the appropriate signature format, whether it's an individual, partnership, or entity.
08
Submit the completed forms to the appropriate party or entity as instructed. This may be an intermediary, qualified intermediary or the IRS, depending on the specific requirements.
09
Retain copies of the filled-out forms and any supporting documentation for your records. These may be needed for future reference or audits.
Who needs 1031 exchange downloadable forms?
01
Individuals or entities that are planning to participate in a 1031 exchange for deferring capital gains tax on the sale of investment or business properties may need 1031 exchange downloadable forms.
02
Qualified intermediaries, real estate investors, buyers, and sellers involved in a 1031 exchange may require these forms to comply with the IRS regulations and ensure the proper documentation of the exchange.
03
It is recommended to consult with a tax professional or an attorney familiar with 1031 exchanges to determine the specific needs and requirements for using downloadable forms in a 1031 exchange.
Fill
form
: Try Risk Free
For pdfFiller’s FAQs
Below is a list of the most common customer questions. If you can’t find an answer to your question, please don’t hesitate to reach out to us.
How can I edit 1031 exchange downloadable forms from Google Drive?
pdfFiller and Google Docs can be used together to make your documents easier to work with and to make fillable forms right in your Google Drive. The integration will let you make, change, and sign documents, like 1031 exchange downloadable forms, without leaving Google Drive. Add pdfFiller's features to Google Drive, and you'll be able to do more with your paperwork on any internet-connected device.
How do I execute 1031 exchange downloadable forms online?
Easy online 1031 exchange downloadable forms completion using pdfFiller. Also, it allows you to legally eSign your form and change original PDF material. Create a free account and manage documents online.
How do I complete 1031 exchange downloadable forms on an iOS device?
Install the pdfFiller app on your iOS device to fill out papers. Create an account or log in if you already have one. After registering, upload your 1031 exchange downloadable forms. You may now use pdfFiller's advanced features like adding fillable fields and eSigning documents from any device, anywhere.
What is 1031 exchange downloadable forms?
1031 exchange downloadable forms are forms that allow individuals or entities involved in a 1031 exchange of like-kind properties to report the exchange to the IRS.
Who is required to file 1031 exchange downloadable forms?
Any taxpayer who is engaging in a 1031 exchange of like-kind properties is required to file 1031 exchange downloadable forms.
How to fill out 1031 exchange downloadable forms?
To fill out 1031 exchange downloadable forms, taxpayers need to provide details about the properties exchanged, including their fair market values, dates of acquisition, and dates of exchange.
What is the purpose of 1031 exchange downloadable forms?
The purpose of 1031 exchange downloadable forms is to report like-kind exchanges to the IRS and ensure compliance with tax laws regarding such exchanges.
What information must be reported on 1031 exchange downloadable forms?
Taxpayers must report details about the like-kind properties exchanged, their fair market values, dates of acquisition, and dates of exchange on 1031 exchange downloadable forms.
Fill out your 1031 exchange downloadable forms online with pdfFiller!
pdfFiller is an end-to-end solution for managing, creating, and editing documents and forms in the cloud. Save time and hassle by preparing your tax forms online.
1031 Exchange Downloadable Forms is not the form you're looking for?Search for another form here.
Relevant keywords
Related Forms
If you believe that this page should be taken down, please follow our DMCA take down process
here
.
This form may include fields for payment information. Data entered in these fields is not covered by PCI DSS compliance.