Get the free Power point School Immunization - Cuyahoga County Board ...
Show details
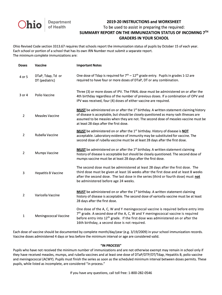
201920 INSTRUCTIONS and WORKSHEET
To be used to assist in preparing the required:
SUMMARY REPORT ON THE IMMUNIZATION STATUS OF INCOMING 7TH
GRADERS IN YOUR SCHOOL
Ohio Revised Code section 3313.67
We are not affiliated with any brand or entity on this form
Get, Create, Make and Sign power point school immunization
Edit your power point school immunization form online
Type text, complete fillable fields, insert images, highlight or blackout data for discretion, add comments, and more.
Add your legally-binding signature
Draw or type your signature, upload a signature image, or capture it with your digital camera.
Share your form instantly
Email, fax, or share your power point school immunization form via URL. You can also download, print, or export forms to your preferred cloud storage service.
Editing power point school immunization online
To use the professional PDF editor, follow these steps:
1
Register the account. Begin by clicking Start Free Trial and create a profile if you are a new user.
2
Upload a file. Select Add New on your Dashboard and upload a file from your device or import it from the cloud, online, or internal mail. Then click Edit.
3
Edit power point school immunization. Text may be added and replaced, new objects can be included, pages can be rearranged, watermarks and page numbers can be added, and so on. When you're done editing, click Done and then go to the Documents tab to combine, divide, lock, or unlock the file.
4
Get your file. Select the name of your file in the docs list and choose your preferred exporting method. You can download it as a PDF, save it in another format, send it by email, or transfer it to the cloud.
It's easier to work with documents with pdfFiller than you could have believed. You may try it out for yourself by signing up for an account.
Uncompromising security for your PDF editing and eSignature needs
Your private information is safe with pdfFiller. We employ end-to-end encryption, secure cloud storage, and advanced access control to protect your documents and maintain regulatory compliance.
How to fill out power point school immunization
How to fill out power point school immunization
01
Open Microsoft PowerPoint on your computer.
02
Click on 'New Presentation' to create a new PowerPoint document.
03
Choose a suitable template or select a blank presentation.
04
Insert a title slide and enter the name of the school immunization.
05
Create additional slides to provide information about the immunization, such as the purpose, schedule, requirements, and any other relevant details.
06
Use appropriate graphics, charts, and images to enhance the presentation.
07
Format the text, headings, and bullet points for better readability.
08
Add transitions and animations to make the presentation more engaging.
09
Review and proofread the presentation for any errors or inconsistencies.
10
Save the PowerPoint presentation and make necessary copies for distribution.
Who needs power point school immunization?
01
PowerPoint school immunization is required for students, school staff, and faculty members who need to provide information about immunization programs to the school community.
02
It is also useful for healthcare professionals, educators, or anyone involved in organizing or promoting school immunization campaigns.
Fill
form
: Try Risk Free
For pdfFiller’s FAQs
Below is a list of the most common customer questions. If you can’t find an answer to your question, please don’t hesitate to reach out to us.
How do I modify my power point school immunization in Gmail?
It's easy to use pdfFiller's Gmail add-on to make and edit your power point school immunization and any other documents you get right in your email. You can also eSign them. Take a look at the Google Workspace Marketplace and get pdfFiller for Gmail. Get rid of the time-consuming steps and easily manage your documents and eSignatures with the help of an app.
How can I modify power point school immunization without leaving Google Drive?
It is possible to significantly enhance your document management and form preparation by combining pdfFiller with Google Docs. This will allow you to generate papers, amend them, and sign them straight from your Google Drive. Use the add-on to convert your power point school immunization into a dynamic fillable form that can be managed and signed using any internet-connected device.
How do I edit power point school immunization straight from my smartphone?
The best way to make changes to documents on a mobile device is to use pdfFiller's apps for iOS and Android. You may get them from the Apple Store and Google Play. Learn more about the apps here. To start editing power point school immunization, you need to install and log in to the app.
What is power point school immunization?
Power point school immunization is the process of ensuring that students have received the necessary vaccinations to attend school.
Who is required to file power point school immunization?
Parents or guardians are typically required to file power point school immunization for their children.
How to fill out power point school immunization?
Power point school immunization forms can usually be filled out online or in person at the child's school or healthcare provider's office.
What is the purpose of power point school immunization?
The purpose of power point school immunization is to protect students and the community from preventable diseases.
What information must be reported on power point school immunization?
Information such as the student's name, date of birth, vaccination dates, and types of vaccines administered must be reported on power point school immunization forms.
Fill out your power point school immunization online with pdfFiller!
pdfFiller is an end-to-end solution for managing, creating, and editing documents and forms in the cloud. Save time and hassle by preparing your tax forms online.
Power Point School Immunization is not the form you're looking for?Search for another form here.
Relevant keywords
Related Forms
If you believe that this page should be taken down, please follow our DMCA take down process
here
.
This form may include fields for payment information. Data entered in these fields is not covered by PCI DSS compliance.