Get the free FacilitiesRecreational Sports Outdoor ProgramUMN Duluth
Show details
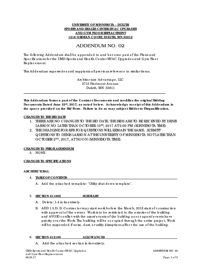
UNIVERSITY OF MINNESOTA DULUTH SPORTS AND HEALTH CENTER HVAC UPGRADES AND GYM FLOOR REPLACEMENT 1216 ORDEAL COURT, DULUTH, MN 55812ADDENDUM NO. 02 The following Addendum shall be appended to and become
We are not affiliated with any brand or entity on this form
Get, Create, Make and Sign facilitiesrecreational sports outdoor programumn
Edit your facilitiesrecreational sports outdoor programumn form online
Type text, complete fillable fields, insert images, highlight or blackout data for discretion, add comments, and more.
Add your legally-binding signature
Draw or type your signature, upload a signature image, or capture it with your digital camera.
Share your form instantly
Email, fax, or share your facilitiesrecreational sports outdoor programumn form via URL. You can also download, print, or export forms to your preferred cloud storage service.
How to edit facilitiesrecreational sports outdoor programumn online
To use our professional PDF editor, follow these steps:
1
Sign into your account. If you don't have a profile yet, click Start Free Trial and sign up for one.
2
Upload a file. Select Add New on your Dashboard and upload a file from your device or import it from the cloud, online, or internal mail. Then click Edit.
3
Edit facilitiesrecreational sports outdoor programumn. Text may be added and replaced, new objects can be included, pages can be rearranged, watermarks and page numbers can be added, and so on. When you're done editing, click Done and then go to the Documents tab to combine, divide, lock, or unlock the file.
4
Save your file. Select it in the list of your records. Then, move the cursor to the right toolbar and choose one of the available exporting methods: save it in multiple formats, download it as a PDF, send it by email, or store it in the cloud.
pdfFiller makes working with documents easier than you could ever imagine. Register for an account and see for yourself!
Uncompromising security for your PDF editing and eSignature needs
Your private information is safe with pdfFiller. We employ end-to-end encryption, secure cloud storage, and advanced access control to protect your documents and maintain regulatory compliance.
How to fill out facilitiesrecreational sports outdoor programumn
How to fill out facilitiesrecreational sports outdoor programumn
01
Start by gathering all the necessary information and documents related to the facilities recreational sports outdoor program.
02
Read and understand the guidelines and instructions provided for filling out the program form.
03
Begin by entering the basic details such as the name of the program, location, duration, and contact information.
04
Provide a detailed description and objective of the program, including the types of recreational sports activities that will be offered.
05
Specify any requirements or eligibility criteria for participants, such as age restrictions or skill levels.
06
Outline the schedule and timing for the program, including any registration deadlines or session dates.
07
Indicate the facilities and equipment that will be available for the outdoor sports activities.
08
Include any safety measures or precautions that will be taken during the program, such as first aid provisions or supervision.
09
Mention any fees or charges associated with participating in the program, along with the payment options and due dates.
10
Finally, review the completed form for any errors or omissions before submitting it.
Who needs facilitiesrecreational sports outdoor programumn?
01
Schools, colleges, and universities looking to organize recreational sports programs for students.
02
Community centers or parks that want to offer outdoor sports activities for local residents.
03
Sports clubs or organizations planning to organize outdoor sports events or tournaments.
04
Fitness centers or gyms aiming to diversify their offerings by including recreational sports programs.
05
Companies or institutions interested in organizing team-building activities or corporate sports events.
Fill
form
: Try Risk Free
For pdfFiller’s FAQs
Below is a list of the most common customer questions. If you can’t find an answer to your question, please don’t hesitate to reach out to us.
How can I modify facilitiesrecreational sports outdoor programumn without leaving Google Drive?
By combining pdfFiller with Google Docs, you can generate fillable forms directly in Google Drive. No need to leave Google Drive to make edits or sign documents, including facilitiesrecreational sports outdoor programumn. Use pdfFiller's features in Google Drive to handle documents on any internet-connected device.
How can I send facilitiesrecreational sports outdoor programumn to be eSigned by others?
facilitiesrecreational sports outdoor programumn is ready when you're ready to send it out. With pdfFiller, you can send it out securely and get signatures in just a few clicks. PDFs can be sent to you by email, text message, fax, USPS mail, or notarized on your account. You can do this right from your account. Become a member right now and try it out for yourself!
Can I edit facilitiesrecreational sports outdoor programumn on an Android device?
You can make any changes to PDF files, such as facilitiesrecreational sports outdoor programumn, with the help of the pdfFiller mobile app for Android. Edit, sign, and send documents right from your mobile device. Install the app and streamline your document management wherever you are.
What is facilitiesrecreational sports outdoor programumn?
Facilities recreational sports outdoor programumn is a program that offers recreational sports activities in outdoor facilities.
Who is required to file facilitiesrecreational sports outdoor programumn?
Facilities recreational sports outdoor programumn must be filed by organizations or individuals who operate recreational sports programs in outdoor facilities.
How to fill out facilitiesrecreational sports outdoor programumn?
To fill out facilities recreational sports outdoor programumn, you need to provide information about the types of sports activities offered, locations of the outdoor facilities, and safety measures in place.
What is the purpose of facilitiesrecreational sports outdoor programumn?
The purpose of facilities recreational sports outdoor programumn is to ensure the safety and quality of recreational sports activities offered in outdoor facilities.
What information must be reported on facilitiesrecreational sports outdoor programumn?
Information such as types of sports activities, location of facilities, safety measures, and contact information must be reported on facilities recreational sports outdoor programumn.
Fill out your facilitiesrecreational sports outdoor programumn online with pdfFiller!
pdfFiller is an end-to-end solution for managing, creating, and editing documents and forms in the cloud. Save time and hassle by preparing your tax forms online.
Facilitiesrecreational Sports Outdoor Programumn is not the form you're looking for?Search for another form here.
Relevant keywords
Related Forms
If you believe that this page should be taken down, please follow our DMCA take down process
here
.
This form may include fields for payment information. Data entered in these fields is not covered by PCI DSS compliance.