
Get the free NEW YORK STATE DEPARTMENT OF PUBLIC SERVICE METHOD OF SERVICE ...
Show details
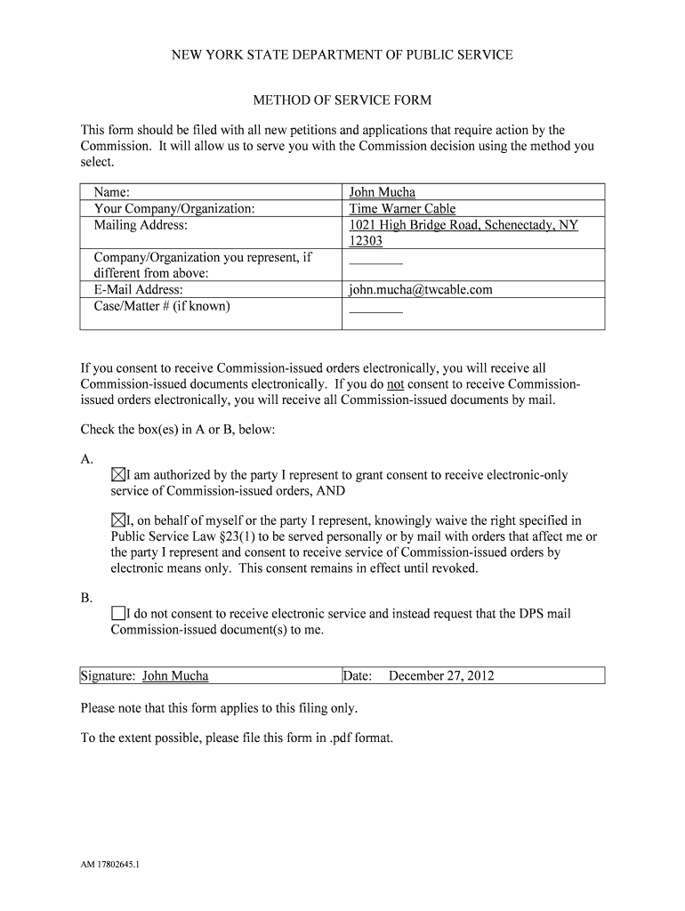
NEW YORK STATE DEPARTMENT OF PUBLIC SERVICE METHOD OF SERVICE FORM This form should be filed with all new petitions and applications that require action by the Commission. It will allow us to serve
We are not affiliated with any brand or entity on this form
Get, Create, Make and Sign new york state department

Edit your new york state department form online
Type text, complete fillable fields, insert images, highlight or blackout data for discretion, add comments, and more.

Add your legally-binding signature
Draw or type your signature, upload a signature image, or capture it with your digital camera.

Share your form instantly
Email, fax, or share your new york state department form via URL. You can also download, print, or export forms to your preferred cloud storage service.
How to edit new york state department online
Follow the steps down below to use a professional PDF editor:
1
Log in to your account. Start Free Trial and register a profile if you don't have one yet.
2
Simply add a document. Select Add New from your Dashboard and import a file into the system by uploading it from your device or importing it via the cloud, online, or internal mail. Then click Begin editing.
3
Edit new york state department. Replace text, adding objects, rearranging pages, and more. Then select the Documents tab to combine, divide, lock or unlock the file.
4
Save your file. Select it from your list of records. Then, move your cursor to the right toolbar and choose one of the exporting options. You can save it in multiple formats, download it as a PDF, send it by email, or store it in the cloud, among other things.
It's easier to work with documents with pdfFiller than you can have ever thought. Sign up for a free account to view.
Uncompromising security for your PDF editing and eSignature needs
Your private information is safe with pdfFiller. We employ end-to-end encryption, secure cloud storage, and advanced access control to protect your documents and maintain regulatory compliance.
How to fill out new york state department

How to fill out new york state department
01
Gather all the required documents, such as identification proof, proof of address, and any applicable forms or applications.
02
Visit the official website of the New York State Department and navigate to the specific department or service you need to fill out.
03
Read the instructions and guidelines provided on the website carefully to understand the requirements and procedures.
04
Download and print out the necessary forms or applications, or fill them out electronically if available.
05
Fill out the forms or applications accurately and completely, ensuring to provide all required information and supporting documents.
06
Review your filled-out forms or applications to make sure there are no errors or omissions.
07
Make copies of all the filled-out forms and supporting documents for your records.
08
Submit the completed forms or applications, along with any applicable fees, either online or by mail as specified by the New York State Department.
09
Keep track of your submission and any correspondence or notifications sent by the Department.
10
Follow up with the Department if required or if you have any further queries.
Who needs new york state department?
01
Anyone residing in or involved with activities in the state of New York may need to interact with the New York State Department. This includes residents, businesses, organizations, and individuals requiring various services such as driver's licenses, vehicle registrations, tax filings, permits and licenses, professional certifications, and many others.
02
Additionally, those seeking information or assistance regarding state laws, regulations, programs, or any other state-specific matters may also need to contact or engage with the New York State Department.
Fill
form
: Try Risk Free
For pdfFiller’s FAQs
Below is a list of the most common customer questions. If you can’t find an answer to your question, please don’t hesitate to reach out to us.
How can I send new york state department for eSignature?
Once your new york state department is complete, you can securely share it with recipients and gather eSignatures with pdfFiller in just a few clicks. You may transmit a PDF by email, text message, fax, USPS mail, or online notarization directly from your account. Make an account right now and give it a go.
How do I edit new york state department straight from my smartphone?
You can do so easily with pdfFiller’s applications for iOS and Android devices, which can be found at the Apple Store and Google Play Store, respectively. Alternatively, you can get the app on our web page: https://edit-pdf-ios-android.pdffiller.com/. Install the application, log in, and start editing new york state department right away.
Can I edit new york state department on an Android device?
You can edit, sign, and distribute new york state department on your mobile device from anywhere using the pdfFiller mobile app for Android; all you need is an internet connection. Download the app and begin streamlining your document workflow from anywhere.
What is new york state department?
The New York State Department is a government agency responsible for overseeing various aspects of state operations and administration.
Who is required to file new york state department?
Certain businesses and individuals may be required to file with the New York State Department, depending on their specific circumstances.
How to fill out new york state department?
Individuals and businesses can fill out the required forms and submit them to the New York State Department either online or through mail.
What is the purpose of new york state department?
The purpose of the New York State Department is to regulate certain activities, provide oversight, and enforce compliance with state laws and regulations.
What information must be reported on new york state department?
The information that must be reported on the New York State Department forms varies depending on the type of filing required.
Fill out your new york state department online with pdfFiller!
pdfFiller is an end-to-end solution for managing, creating, and editing documents and forms in the cloud. Save time and hassle by preparing your tax forms online.

New York State Department is not the form you're looking for?Search for another form here.
Relevant keywords
Related Forms
If you believe that this page should be taken down, please follow our DMCA take down process
here
.
This form may include fields for payment information. Data entered in these fields is not covered by PCI DSS compliance.