
Get the free Frequently Asked Questions - Louisiana State Licensing
Show details
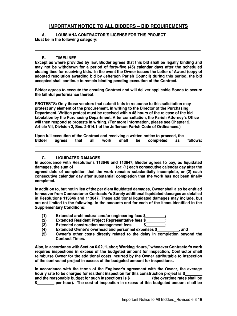
IMPORTANT NOTICE TO ALL BIDDERS BID REQUIREMENTS A. LOUISIANA CONTRACTORS LICENSE FOR THIS PROJECT Must be in the following category: B. TIMELINES Except as where provided by law, Bidder agrees that
We are not affiliated with any brand or entity on this form
Get, Create, Make and Sign frequently asked questions

Edit your frequently asked questions form online
Type text, complete fillable fields, insert images, highlight or blackout data for discretion, add comments, and more.

Add your legally-binding signature
Draw or type your signature, upload a signature image, or capture it with your digital camera.

Share your form instantly
Email, fax, or share your frequently asked questions form via URL. You can also download, print, or export forms to your preferred cloud storage service.
Editing frequently asked questions online
Use the instructions below to start using our professional PDF editor:
1
Register the account. Begin by clicking Start Free Trial and create a profile if you are a new user.
2
Prepare a file. Use the Add New button to start a new project. Then, using your device, upload your file to the system by importing it from internal mail, the cloud, or adding its URL.
3
Edit frequently asked questions. Text may be added and replaced, new objects can be included, pages can be rearranged, watermarks and page numbers can be added, and so on. When you're done editing, click Done and then go to the Documents tab to combine, divide, lock, or unlock the file.
4
Get your file. Select your file from the documents list and pick your export method. You may save it as a PDF, email it, or upload it to the cloud.
pdfFiller makes working with documents easier than you could ever imagine. Create an account to find out for yourself how it works!
Uncompromising security for your PDF editing and eSignature needs
Your private information is safe with pdfFiller. We employ end-to-end encryption, secure cloud storage, and advanced access control to protect your documents and maintain regulatory compliance.
How to fill out frequently asked questions

How to fill out frequently asked questions
01
To fill out frequently asked questions, follow these steps:
02
Identify the most common questions that customers or users ask about your product or service.
03
Create a list of these questions.
04
Write concise and clear answers for each question.
05
Organize the questions and answers in a logical manner.
06
Make sure the answers provide accurate and helpful information.
07
Use headings or categories to group similar questions together.
08
Consider using bullet points or numbered lists for easy readability.
09
Add any necessary links or references to external resources for further information.
10
Review and revise the frequently asked questions periodically to keep them up to date.
11
Publish the frequently asked questions on your website or any other relevant platform for easy access by your customers or users.
Who needs frequently asked questions?
01
Frequently asked questions are beneficial for various individuals or organizations, including:
02
- Companies or businesses that want to provide self-service support to their customers.
03
- Online platforms or apps that aim to offer easy access to information for their users.
04
- Educational institutes or training centers that want to address common inquiries from students or participants.
05
- Government organizations or agencies that need to provide quick answers to frequently asked queries from the public.
06
- Non-profit organizations or charities that want to offer clear guidance to their donors, volunteers, or beneficiaries.
07
- E-commerce websites that need to address common concerns or doubts of their potential buyers.
Fill
form
: Try Risk Free
For pdfFiller’s FAQs
Below is a list of the most common customer questions. If you can’t find an answer to your question, please don’t hesitate to reach out to us.
How do I make edits in frequently asked questions without leaving Chrome?
Install the pdfFiller Google Chrome Extension in your web browser to begin editing frequently asked questions and other documents right from a Google search page. When you examine your documents in Chrome, you may make changes to them. With pdfFiller, you can create fillable documents and update existing PDFs from any internet-connected device.
How can I edit frequently asked questions on a smartphone?
You can easily do so with pdfFiller's apps for iOS and Android devices, which can be found at the Apple Store and the Google Play Store, respectively. You can use them to fill out PDFs. We have a website where you can get the app, but you can also get it there. When you install the app, log in, and start editing frequently asked questions, you can start right away.
How can I fill out frequently asked questions on an iOS device?
Get and install the pdfFiller application for iOS. Next, open the app and log in or create an account to get access to all of the solution’s editing features. To open your frequently asked questions, upload it from your device or cloud storage, or enter the document URL. After you complete all of the required fields within the document and eSign it (if that is needed), you can save it or share it with others.
What is frequently asked questions?
Frequently asked questions (FAQ) are a list of common questions and answers pertaining to a particular topic or service.
Who is required to file frequently asked questions?
Anyone who wants to provide clear and concise information to their audience can create and publish frequently asked questions.
How to fill out frequently asked questions?
Frequently asked questions can be filled out by compiling a list of common inquiries and providing accurate and helpful responses.
What is the purpose of frequently asked questions?
The purpose of frequently asked questions is to address common queries, provide information, and improve user experience by offering quick and easy access to important details.
What information must be reported on frequently asked questions?
Frequently asked questions should include accurate and relevant information about the topic or service being addressed, along with clear and concise answers.
Fill out your frequently asked questions online with pdfFiller!
pdfFiller is an end-to-end solution for managing, creating, and editing documents and forms in the cloud. Save time and hassle by preparing your tax forms online.

Frequently Asked Questions is not the form you're looking for?Search for another form here.
Relevant keywords
Related Forms
If you believe that this page should be taken down, please follow our DMCA take down process
here
.
This form may include fields for payment information. Data entered in these fields is not covered by PCI DSS compliance.