
Get the free How to Request PD Funds
Show details
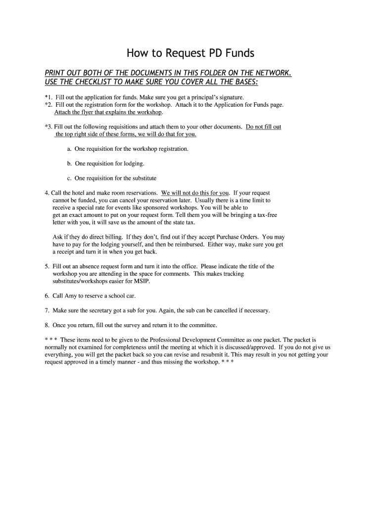
How to Request PD Funds
PRINT OUT BOTH OF THE DOCUMENTS IN THIS FOLDER ON THE NETWORK.
USE THE CHECKLIST TO MAKE SURE YOU COVER ALL THE BASES:
*1. Fill out the application for funds. Make sure you
We are not affiliated with any brand or entity on this form
Get, Create, Make and Sign how to request pd

Edit your how to request pd form online
Type text, complete fillable fields, insert images, highlight or blackout data for discretion, add comments, and more.

Add your legally-binding signature
Draw or type your signature, upload a signature image, or capture it with your digital camera.

Share your form instantly
Email, fax, or share your how to request pd form via URL. You can also download, print, or export forms to your preferred cloud storage service.
Editing how to request pd online
Here are the steps you need to follow to get started with our professional PDF editor:
1
Log in to account. Click on Start Free Trial and register a profile if you don't have one.
2
Prepare a file. Use the Add New button. Then upload your file to the system from your device, importing it from internal mail, the cloud, or by adding its URL.
3
Edit how to request pd. Rearrange and rotate pages, insert new and alter existing texts, add new objects, and take advantage of other helpful tools. Click Done to apply changes and return to your Dashboard. Go to the Documents tab to access merging, splitting, locking, or unlocking functions.
4
Save your file. Select it in the list of your records. Then, move the cursor to the right toolbar and choose one of the available exporting methods: save it in multiple formats, download it as a PDF, send it by email, or store it in the cloud.
The use of pdfFiller makes dealing with documents straightforward.
Uncompromising security for your PDF editing and eSignature needs
Your private information is safe with pdfFiller. We employ end-to-end encryption, secure cloud storage, and advanced access control to protect your documents and maintain regulatory compliance.
How to fill out how to request pd

How to fill out how to request pd
01
Visit the official website of the organization or department from whom you want to request the PD.
02
Look for the 'Request PD' or 'PD Request' option on the website.
03
Click on the option to start the PD request process.
04
Fill out the required personal details such as name, contact information, and organization.
05
Provide a brief description of the purpose or reason for requesting the PD.
06
Specify the format in which you would like to receive the PD, such as digital or physical copy.
07
Attach any necessary supporting documents or references that can help expedite the PD request.
08
Review all the entered information and make sure it is accurate.
09
Click on the 'Submit' or 'Request PD' button to submit your request.
10
Keep a copy of the request confirmation or reference number for future correspondence.
Who needs how to request pd?
01
Anyone who requires professional development (PD) related to a specific organization or department can use the 'how to request PD' guidelines.
02
Individuals seeking to enhance their skills, knowledge, or qualifications in a particular field and professionals looking to stay updated with the latest industry trends can benefit from requesting PD.
03
Employers or organizations that want their employees to undergo specific training or development programs can also utilize the PD request process.
Fill
form
: Try Risk Free
For pdfFiller’s FAQs
Below is a list of the most common customer questions. If you can’t find an answer to your question, please don’t hesitate to reach out to us.
How can I manage my how to request pd directly from Gmail?
how to request pd and other documents can be changed, filled out, and signed right in your Gmail inbox. You can use pdfFiller's add-on to do this, as well as other things. When you go to Google Workspace, you can find pdfFiller for Gmail. You should use the time you spend dealing with your documents and eSignatures for more important things, like going to the gym or going to the dentist.
Where do I find how to request pd?
The premium subscription for pdfFiller provides you with access to an extensive library of fillable forms (over 25M fillable templates) that you can download, fill out, print, and sign. You won’t have any trouble finding state-specific how to request pd and other forms in the library. Find the template you need and customize it using advanced editing functionalities.
How do I edit how to request pd on an Android device?
With the pdfFiller Android app, you can edit, sign, and share how to request pd on your mobile device from any place. All you need is an internet connection to do this. Keep your documents in order from anywhere with the help of the app!
What is how to request pd?
How to request PD is a process to ask for public documents or information from a government agency or organization.
Who is required to file how to request pd?
Any individual or organization interested in obtaining public documents or information is required to file a request to PD.
How to fill out how to request pd?
To fill out a request for PD, you typically need to provide your name, contact information, details of the information or documents you are requesting, and any other relevant information specified by the agency.
What is the purpose of how to request pd?
The purpose of a request for PD is to ensure transparency and access to public information, as well as to hold government agencies accountable.
What information must be reported on how to request pd?
The information required on a request for PD may vary, but typically includes the requester's contact information, a description of the documents or information being requested, and any applicable fees.
Fill out your how to request pd online with pdfFiller!
pdfFiller is an end-to-end solution for managing, creating, and editing documents and forms in the cloud. Save time and hassle by preparing your tax forms online.

How To Request Pd is not the form you're looking for?Search for another form here.
Relevant keywords
Related Forms
If you believe that this page should be taken down, please follow our DMCA take down process
here
.
This form may include fields for payment information. Data entered in these fields is not covered by PCI DSS compliance.