
Get the free Request for Tax Reports - NM Taxation and Revenue
Show details
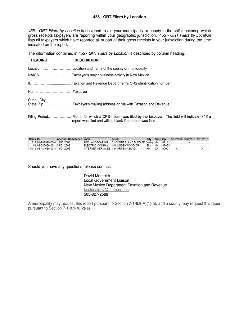
455 GET Filers by Location455 GET Filers by Location is designed to aid your municipality or county in the self monitoring which gross receipts taxpayers are reporting within your geographic jurisdiction.
We are not affiliated with any brand or entity on this form
Get, Create, Make and Sign request for tax reports

Edit your request for tax reports form online
Type text, complete fillable fields, insert images, highlight or blackout data for discretion, add comments, and more.

Add your legally-binding signature
Draw or type your signature, upload a signature image, or capture it with your digital camera.

Share your form instantly
Email, fax, or share your request for tax reports form via URL. You can also download, print, or export forms to your preferred cloud storage service.
Editing request for tax reports online
To use the professional PDF editor, follow these steps:
1
Create an account. Begin by choosing Start Free Trial and, if you are a new user, establish a profile.
2
Prepare a file. Use the Add New button. Then upload your file to the system from your device, importing it from internal mail, the cloud, or by adding its URL.
3
Edit request for tax reports. Add and replace text, insert new objects, rearrange pages, add watermarks and page numbers, and more. Click Done when you are finished editing and go to the Documents tab to merge, split, lock or unlock the file.
4
Get your file. Select your file from the documents list and pick your export method. You may save it as a PDF, email it, or upload it to the cloud.
Uncompromising security for your PDF editing and eSignature needs
Your private information is safe with pdfFiller. We employ end-to-end encryption, secure cloud storage, and advanced access control to protect your documents and maintain regulatory compliance.
How to fill out request for tax reports

How to fill out request for tax reports
01
Gather all necessary financial documents such as income statements, expense records, and receipts.
02
Determine the appropriate tax forms to fill out based on your business structure and financial situation.
03
Fill out the forms accurately and completely, providing all required information.
04
Double-check all calculations and ensure that all deductions and credits are properly included.
05
Attach any supporting documentation required by the tax authorities.
06
Review the completed forms for accuracy and completeness.
07
Sign and date the forms before submitting them to the designated tax authority or filing online.
08
Keep a copy of the filled-out tax reports for your records.
Who needs request for tax reports?
01
Individuals who are required to pay income tax.
02
Businesses and self-employed individuals who are obligated to report their earnings and pay taxes.
03
Organizations and entities subject to tax regulations.
04
Anyone who has received income from sources that require reporting to tax authorities.
Fill
form
: Try Risk Free
For pdfFiller’s FAQs
Below is a list of the most common customer questions. If you can’t find an answer to your question, please don’t hesitate to reach out to us.
How can I modify request for tax reports without leaving Google Drive?
Simplify your document workflows and create fillable forms right in Google Drive by integrating pdfFiller with Google Docs. The integration will allow you to create, modify, and eSign documents, including request for tax reports, without leaving Google Drive. Add pdfFiller’s functionalities to Google Drive and manage your paperwork more efficiently on any internet-connected device.
How can I get request for tax reports?
The premium version of pdfFiller gives you access to a huge library of fillable forms (more than 25 million fillable templates). You can download, fill out, print, and sign them all. State-specific request for tax reports and other forms will be easy to find in the library. Find the template you need and use advanced editing tools to make it your own.
Can I create an eSignature for the request for tax reports in Gmail?
Create your eSignature using pdfFiller and then eSign your request for tax reports immediately from your email with pdfFiller's Gmail add-on. To keep your signatures and signed papers, you must create an account.
What is request for tax reports?
Request for tax reports is a formal submission made to request important tax information from the tax authorities.
Who is required to file request for tax reports?
Any individual or business entity that needs specific tax information for reporting or compliance purposes is required to file a request for tax reports.
How to fill out request for tax reports?
Request for tax reports can be filled out online through the tax authority's website or submitted in person at a local tax office.
What is the purpose of request for tax reports?
The purpose of request for tax reports is to obtain accurate and detailed tax information to fulfill reporting obligations or to comply with tax regulations.
What information must be reported on request for tax reports?
Information such as income details, deductions, credits, and any other relevant tax data must be reported on request for tax reports.
Fill out your request for tax reports online with pdfFiller!
pdfFiller is an end-to-end solution for managing, creating, and editing documents and forms in the cloud. Save time and hassle by preparing your tax forms online.

Request For Tax Reports is not the form you're looking for?Search for another form here.
Relevant keywords
Related Forms
If you believe that this page should be taken down, please follow our DMCA take down process
here
.
This form may include fields for payment information. Data entered in these fields is not covered by PCI DSS compliance.