Get the free SEDCO Announces New Data Center Campus in Sherman's ...
Show details
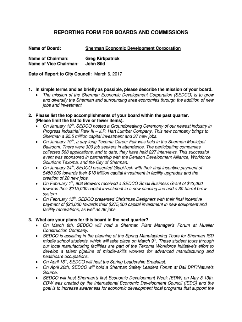
REPORTING FORM FOR BOARDS AND COMMISSIONS Name of Board:Sherman Economic Development CorporationName of Chairman: Name of Vice Chairman:Greg Kirkpatrick John Silicate of Report to City Council: March
We are not affiliated with any brand or entity on this form
Get, Create, Make and Sign sedco announces new data
Edit your sedco announces new data form online
Type text, complete fillable fields, insert images, highlight or blackout data for discretion, add comments, and more.
Add your legally-binding signature
Draw or type your signature, upload a signature image, or capture it with your digital camera.
Share your form instantly
Email, fax, or share your sedco announces new data form via URL. You can also download, print, or export forms to your preferred cloud storage service.
Editing sedco announces new data online
Here are the steps you need to follow to get started with our professional PDF editor:
1
Set up an account. If you are a new user, click Start Free Trial and establish a profile.
2
Simply add a document. Select Add New from your Dashboard and import a file into the system by uploading it from your device or importing it via the cloud, online, or internal mail. Then click Begin editing.
3
Edit sedco announces new data. Rearrange and rotate pages, insert new and alter existing texts, add new objects, and take advantage of other helpful tools. Click Done to apply changes and return to your Dashboard. Go to the Documents tab to access merging, splitting, locking, or unlocking functions.
4
Save your file. Select it in the list of your records. Then, move the cursor to the right toolbar and choose one of the available exporting methods: save it in multiple formats, download it as a PDF, send it by email, or store it in the cloud.
pdfFiller makes working with documents easier than you could ever imagine. Register for an account and see for yourself!
Uncompromising security for your PDF editing and eSignature needs
Your private information is safe with pdfFiller. We employ end-to-end encryption, secure cloud storage, and advanced access control to protect your documents and maintain regulatory compliance.
How to fill out sedco announces new data
How to fill out sedco announces new data
01
To fill out the sedco announces new data form, follow these steps:
02
Start by opening the sedco announces new data form on your computer or device.
03
Read the instructions and requirements for filling out the form carefully.
04
Begin by entering the necessary personal information such as your name, contact details, and address.
05
Then, provide the specific details related to the data being announced. This may include the date of the announcement, the purpose of the announcement, and any relevant supporting information.
06
Make sure to double-check all the information you have entered to ensure accuracy and completeness.
07
Finally, submit the filled-out form through the designated submission method as indicated in the instructions.
Who needs sedco announces new data?
01
Various individuals and organizations may need the sedco announces new data. These may include:
02
- Sedco's clients or customers who want to stay updated with the latest information and data released by the company.
03
- Investors or shareholders who are interested in tracking Sedco's performance and business activities.
04
- Government agencies and regulatory bodies that require access to Sedco's data for compliance and monitoring purposes.
05
- Researchers or analysts who use Sedco's data for market analysis, industry reports, or academic studies.
06
- Media outlets or journalists who cover Sedco's news and announcements.
07
- General public who follow Sedco's activities and want to stay informed about the company's updates and developments.
Fill
form
: Try Risk Free
For pdfFiller’s FAQs
Below is a list of the most common customer questions. If you can’t find an answer to your question, please don’t hesitate to reach out to us.
How do I make changes in sedco announces new data?
The editing procedure is simple with pdfFiller. Open your sedco announces new data in the editor, which is quite user-friendly. You may use it to blackout, redact, write, and erase text, add photos, draw arrows and lines, set sticky notes and text boxes, and much more.
Can I create an eSignature for the sedco announces new data in Gmail?
You can easily create your eSignature with pdfFiller and then eSign your sedco announces new data directly from your inbox with the help of pdfFiller’s add-on for Gmail. Please note that you must register for an account in order to save your signatures and signed documents.
How can I fill out sedco announces new data on an iOS device?
Install the pdfFiller iOS app. Log in or create an account to access the solution's editing features. Open your sedco announces new data by uploading it from your device or online storage. After filling in all relevant fields and eSigning if required, you may save or distribute the document.
What is sedco announces new data?
Sedco announces new data refers to the process of releasing updated information or reports to the public.
Who is required to file sedco announces new data?
Companies or organizations who are publicly traded or required to disclose certain information to regulatory authorities may be required to file Sedco announces new data.
How to fill out sedco announces new data?
Sedco announces new data can be filled out electronically through the relevant regulatory authority's online portal or platform.
What is the purpose of sedco announces new data?
The purpose of Sedco announces new data is to provide transparency and ensure that relevant information is communicated to stakeholders and the public.
What information must be reported on sedco announces new data?
The information reported on Sedco announces new data may include financial performance, regulatory compliance, operational updates, and other relevant data.
Fill out your sedco announces new data online with pdfFiller!
pdfFiller is an end-to-end solution for managing, creating, and editing documents and forms in the cloud. Save time and hassle by preparing your tax forms online.
Sedco Announces New Data is not the form you're looking for?Search for another form here.
Relevant keywords
Related Forms
If you believe that this page should be taken down, please follow our DMCA take down process
here
.
This form may include fields for payment information. Data entered in these fields is not covered by PCI DSS compliance.