Get the free FORM 6-K/A SECURITIES AND EXCHANGE ... - Investors
Show details
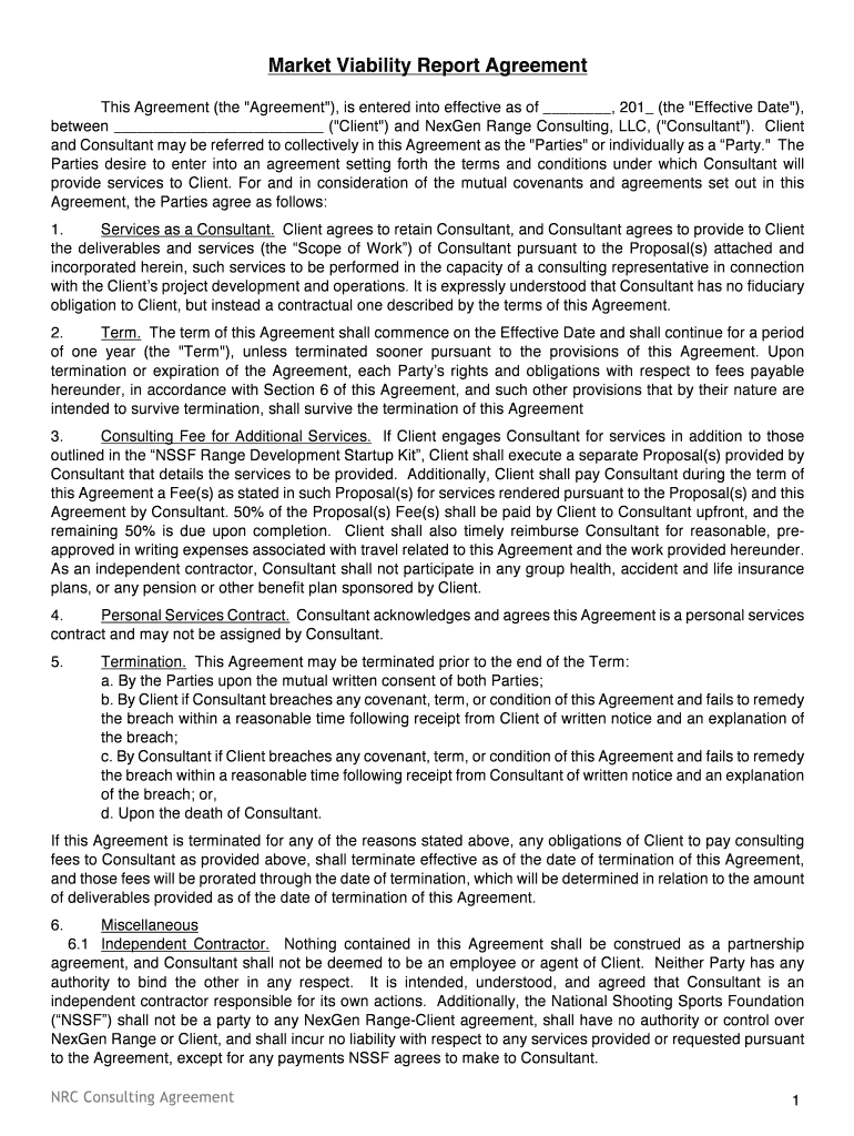
Market Viability Report Agreement This Agreement (the “Agreement “), is entered into effective as of, 201 (the “Effective Date “), between (“Client “) and Bergen Range Consulting, LLC,
We are not affiliated with any brand or entity on this form
Get, Create, Make and Sign form 6-ka securities and
Edit your form 6-ka securities and form online
Type text, complete fillable fields, insert images, highlight or blackout data for discretion, add comments, and more.
Add your legally-binding signature
Draw or type your signature, upload a signature image, or capture it with your digital camera.
Share your form instantly
Email, fax, or share your form 6-ka securities and form via URL. You can also download, print, or export forms to your preferred cloud storage service.
How to edit form 6-ka securities and online
Here are the steps you need to follow to get started with our professional PDF editor:
1
Register the account. Begin by clicking Start Free Trial and create a profile if you are a new user.
2
Upload a file. Select Add New on your Dashboard and upload a file from your device or import it from the cloud, online, or internal mail. Then click Edit.
3
Edit form 6-ka securities and. Add and replace text, insert new objects, rearrange pages, add watermarks and page numbers, and more. Click Done when you are finished editing and go to the Documents tab to merge, split, lock or unlock the file.
4
Save your file. Select it in the list of your records. Then, move the cursor to the right toolbar and choose one of the available exporting methods: save it in multiple formats, download it as a PDF, send it by email, or store it in the cloud.
It's easier to work with documents with pdfFiller than you can have ever thought. You may try it out for yourself by signing up for an account.
Uncompromising security for your PDF editing and eSignature needs
Your private information is safe with pdfFiller. We employ end-to-end encryption, secure cloud storage, and advanced access control to protect your documents and maintain regulatory compliance.
How to fill out form 6-ka securities and
How to fill out form 6-ka securities and
01
To fill out form 6-ka securities, follow these steps:
02
Start by entering your personal information such as name, address, and contact details in the designated fields.
03
Provide details about the securities you are filing the form for, such as the type of security, quantity, and issuer information.
04
Include any additional information required by the form, such as previous transactions, stock ownership, or affiliations with the issuer.
05
Review the filled-out form for accuracy and completeness.
06
Sign and date the form to confirm its authenticity.
07
Submit the filled-out form as per the instructions provided, either in person or through the specified submission channels.
08
Keep a copy of the filled-out form for your records.
Who needs form 6-ka securities and?
01
Form 6-ka securities is required by individuals or entities who own or trade securities in certain jurisdictions where this form is mandated by law.
02
Some examples of individuals or entities that may need to fill out form 6-ka securities include:
03
- Shareholders of publicly traded companies
04
- Investors participating in securities offerings or public placements
05
- Brokerage firms or financial institutions dealing with securities on behalf of their clients
06
- Insiders or key management personnel of a public company
07
- Institutional investors holding a significant stake in a company
08
- Professional traders or investment firms engaged in securities trading
09
It is crucial to consult with legal or financial professionals to determine if you specifically need to fill out form 6-ka securities based on your jurisdiction and circumstances.
Fill
form
: Try Risk Free
For pdfFiller’s FAQs
Below is a list of the most common customer questions. If you can’t find an answer to your question, please don’t hesitate to reach out to us.
How can I send form 6-ka securities and for eSignature?
Once your form 6-ka securities and is complete, you can securely share it with recipients and gather eSignatures with pdfFiller in just a few clicks. You may transmit a PDF by email, text message, fax, USPS mail, or online notarization directly from your account. Make an account right now and give it a go.
How do I complete form 6-ka securities and online?
Filling out and eSigning form 6-ka securities and is now simple. The solution allows you to change and reorganize PDF text, add fillable fields, and eSign the document. Start a free trial of pdfFiller, the best document editing solution.
How do I edit form 6-ka securities and in Chrome?
form 6-ka securities and can be edited, filled out, and signed with the pdfFiller Google Chrome Extension. You can open the editor right from a Google search page with just one click. Fillable documents can be done on any web-connected device without leaving Chrome.
What is form 6-ka securities and?
Form 6-Ka is a form required to be filed with the Securities and Exchange Commission by certain foreign private issuers.
Who is required to file form 6-ka securities and?
Foreign private issuers who have securities registered with the SEC are required to file form 6-Ka.
How to fill out form 6-ka securities and?
Form 6-Ka can be filled out electronically through the SEC's Electronic Data Gathering, Analysis, and Retrieval system (EDGAR).
What is the purpose of form 6-ka securities and?
The purpose of form 6-Ka is to provide important information to the SEC and the public about certain events or developments that occur with the foreign private issuer.
What information must be reported on form 6-ka securities and?
Form 6-Ka typically includes information about financial results, changes in corporate structure, or other significant events that may impact the issuer.
Fill out your form 6-ka securities and online with pdfFiller!
pdfFiller is an end-to-end solution for managing, creating, and editing documents and forms in the cloud. Save time and hassle by preparing your tax forms online.
Form 6-Ka Securities And is not the form you're looking for?Search for another form here.
Relevant keywords
Related Forms
If you believe that this page should be taken down, please follow our DMCA take down process
here
.
This form may include fields for payment information. Data entered in these fields is not covered by PCI DSS compliance.