Get the free 010(e)(5)(B) is amended to read:
Show details
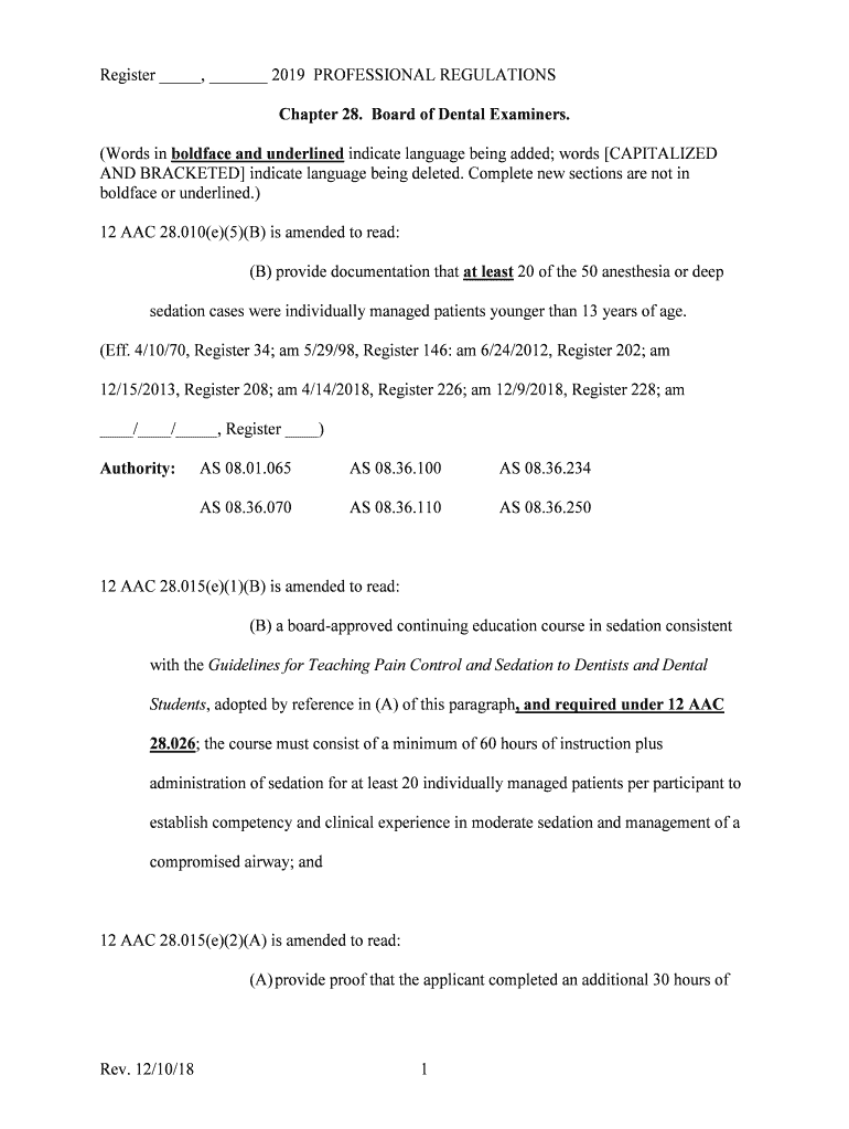
Register, 2019 PROFESSIONAL REGULATIONS Chapter 28. Board of Dental Examiners. (Words in boldface and underlined indicate language being added; words CAPITALIZED AND BRACKETED indicate language being
We are not affiliated with any brand or entity on this form
Get, Create, Make and Sign 010e5b is amended to
Edit your 010e5b is amended to form online
Type text, complete fillable fields, insert images, highlight or blackout data for discretion, add comments, and more.
Add your legally-binding signature
Draw or type your signature, upload a signature image, or capture it with your digital camera.
Share your form instantly
Email, fax, or share your 010e5b is amended to form via URL. You can also download, print, or export forms to your preferred cloud storage service.
How to edit 010e5b is amended to online
Here are the steps you need to follow to get started with our professional PDF editor:
1
Register the account. Begin by clicking Start Free Trial and create a profile if you are a new user.
2
Upload a document. Select Add New on your Dashboard and transfer a file into the system in one of the following ways: by uploading it from your device or importing from the cloud, web, or internal mail. Then, click Start editing.
3
Edit 010e5b is amended to. Replace text, adding objects, rearranging pages, and more. Then select the Documents tab to combine, divide, lock or unlock the file.
4
Save your file. Select it from your list of records. Then, move your cursor to the right toolbar and choose one of the exporting options. You can save it in multiple formats, download it as a PDF, send it by email, or store it in the cloud, among other things.
It's easier to work with documents with pdfFiller than you can have ever thought. You can sign up for an account to see for yourself.
Uncompromising security for your PDF editing and eSignature needs
Your private information is safe with pdfFiller. We employ end-to-end encryption, secure cloud storage, and advanced access control to protect your documents and maintain regulatory compliance.
How to fill out 010e5b is amended to
How to fill out 010e5b is amended to
01
To fill out 010e5b is amended to, follow these steps:
02
Start by opening the form 010e5b is amended to in a PDF reader or editor.
03
Read the instructions at the beginning of the form to understand the purpose and requirements.
04
Fill in your personal information in the designated fields, such as your name, address, and contact details.
05
Provide the necessary details regarding the amendment you are making. This may include the specific sections or fields that need to be amended, as well as the reasons for the amendment.
06
Review the completed form to ensure all information is accurately filled in.
07
Save a copy of the filled-out form for your records.
08
Follow any additional instructions on the form, such as submitting it to a specific department or mailing address.
09
If required, obtain any necessary signatures or approvals before submitting the amended form.
Who needs 010e5b is amended to?
01
010e5b is amended to may be needed by individuals or organizations who have previously submitted form 010e5b and need to make changes or corrections to the original information provided.
02
This could include individuals filing for personal amendments, such as changes to their personal details or declarations, as well as organizations making amendments to their business information, financial statements, or other relevant data.
03
It is essential to consult the specific instructions or regulations related to form 010e5b and its amendments to determine if it applies to your situation.
Fill
form
: Try Risk Free
For pdfFiller’s FAQs
Below is a list of the most common customer questions. If you can’t find an answer to your question, please don’t hesitate to reach out to us.
How do I modify my 010e5b is amended to in Gmail?
pdfFiller’s add-on for Gmail enables you to create, edit, fill out and eSign your 010e5b is amended to and any other documents you receive right in your inbox. Visit Google Workspace Marketplace and install pdfFiller for Gmail. Get rid of time-consuming steps and manage your documents and eSignatures effortlessly.
How can I modify 010e5b is amended to without leaving Google Drive?
People who need to keep track of documents and fill out forms quickly can connect PDF Filler to their Google Docs account. This means that they can make, edit, and sign documents right from their Google Drive. Make your 010e5b is amended to into a fillable form that you can manage and sign from any internet-connected device with this add-on.
How do I make changes in 010e5b is amended to?
The editing procedure is simple with pdfFiller. Open your 010e5b is amended to in the editor, which is quite user-friendly. You may use it to blackout, redact, write, and erase text, add photos, draw arrows and lines, set sticky notes and text boxes, and much more.
What is 010e5b is amended to?
010e5b is amended to something
Who is required to file 010e5b is amended to?
Individuals or entities meeting certain criteria are required to file 010e5b is amended to
How to fill out 010e5b is amended to?
You can fill out 010e5b is amended to by following the instructions provided by the relevant authority
What is the purpose of 010e5b is amended to?
The purpose of 010e5b is amended to is to collect specific information for regulatory or compliance purposes
What information must be reported on 010e5b is amended to?
Information such as XYZ, ABC, and 123 must be reported on 010e5b is amended to
Fill out your 010e5b is amended to online with pdfFiller!
pdfFiller is an end-to-end solution for managing, creating, and editing documents and forms in the cloud. Save time and hassle by preparing your tax forms online.
010E5B Is Amended To is not the form you're looking for?Search for another form here.
Relevant keywords
Related Forms
If you believe that this page should be taken down, please follow our DMCA take down process
here
.
This form may include fields for payment information. Data entered in these fields is not covered by PCI DSS compliance.