
Get the free Apprenticeship Standards - Exhibit A - Application for the Pipefitting Apprenticeshi...
Show details
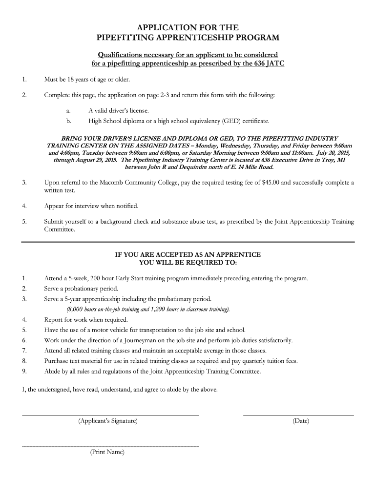
APPLICATION FOR THE
PIPETTING APPRENTICESHIP PROGRAM
Qualifications necessary for an applicant to be considered
for a pipe fitting apprenticeship as prescribed by the 636 ATC
1. Must be 18 years of
We are not affiliated with any brand or entity on this form
Get, Create, Make and Sign apprenticeship standards - exhibit

Edit your apprenticeship standards - exhibit form online
Type text, complete fillable fields, insert images, highlight or blackout data for discretion, add comments, and more.

Add your legally-binding signature
Draw or type your signature, upload a signature image, or capture it with your digital camera.

Share your form instantly
Email, fax, or share your apprenticeship standards - exhibit form via URL. You can also download, print, or export forms to your preferred cloud storage service.
Editing apprenticeship standards - exhibit online
To use our professional PDF editor, follow these steps:
1
Log in. Click Start Free Trial and create a profile if necessary.
2
Upload a document. Select Add New on your Dashboard and transfer a file into the system in one of the following ways: by uploading it from your device or importing from the cloud, web, or internal mail. Then, click Start editing.
3
Edit apprenticeship standards - exhibit. Add and change text, add new objects, move pages, add watermarks and page numbers, and more. Then click Done when you're done editing and go to the Documents tab to merge or split the file. If you want to lock or unlock the file, click the lock or unlock button.
4
Save your file. Choose it from the list of records. Then, shift the pointer to the right toolbar and select one of the several exporting methods: save it in multiple formats, download it as a PDF, email it, or save it to the cloud.
pdfFiller makes dealing with documents a breeze. Create an account to find out!
Uncompromising security for your PDF editing and eSignature needs
Your private information is safe with pdfFiller. We employ end-to-end encryption, secure cloud storage, and advanced access control to protect your documents and maintain regulatory compliance.
How to fill out apprenticeship standards - exhibit

How to fill out apprenticeship standards - exhibit
01
Start by gathering all the necessary information and documentation related to the apprenticeship standards you are filling out.
02
Carefully read and understand the instructions provided for filling out the apprenticeship standards exhibit.
03
Begin by providing general information about the apprenticeship program, such as the program name, duration, and description.
04
Next, specify the occupational title and the related occupation code for which the apprenticeship standards are being created.
05
Provide a detailed outline of the occupational skills and knowledge required for the apprenticeship program.
06
Include any specific certifications, licenses, or educational requirements associated with the apprenticeship program.
07
Mention any industry-recognized credentials or qualifications that are necessary for successful completion of the program.
08
Detail the specific on-the-job training requirements, including the tasks, skills, and competencies that need to be acquired.
09
Describe the related technical instruction and classroom-based training that will complement the on-the-job training.
10
Finally, review all the information provided and make sure it is accurate and complete before submitting the filled-out apprenticeship standards exhibit.
Who needs apprenticeship standards - exhibit?
01
Employers who want to establish structured apprenticeship programs within their organizations.
02
Training providers or educational institutions that offer apprenticeship training programs.
03
Individuals or job seekers interested in pursuing apprenticeships to gain hands-on experience and industry-recognized credentials.
04
Government agencies or organizations involved in workforce development and promoting skill development initiatives.
05
Industry associations or trade unions that aim to improve the quality and standardization of apprenticeship programs.
Fill
form
: Try Risk Free
For pdfFiller’s FAQs
Below is a list of the most common customer questions. If you can’t find an answer to your question, please don’t hesitate to reach out to us.
How do I complete apprenticeship standards - exhibit online?
pdfFiller makes it easy to finish and sign apprenticeship standards - exhibit online. It lets you make changes to original PDF content, highlight, black out, erase, and write text anywhere on a page, legally eSign your form, and more, all from one place. Create a free account and use the web to keep track of professional documents.
How do I edit apprenticeship standards - exhibit online?
pdfFiller not only allows you to edit the content of your files but fully rearrange them by changing the number and sequence of pages. Upload your apprenticeship standards - exhibit to the editor and make any required adjustments in a couple of clicks. The editor enables you to blackout, type, and erase text in PDFs, add images, sticky notes and text boxes, and much more.
How do I edit apprenticeship standards - exhibit on an Android device?
You can. With the pdfFiller Android app, you can edit, sign, and distribute apprenticeship standards - exhibit from anywhere with an internet connection. Take use of the app's mobile capabilities.
What is apprenticeship standards - exhibit?
Apprenticeship standards - exhibit is a document outlining the skills, knowledge, and behaviors required for a specific occupation within an apprenticeship program.
Who is required to file apprenticeship standards - exhibit?
Employers who are running apprenticeship programs are required to file apprenticeship standards - exhibit.
How to fill out apprenticeship standards - exhibit?
Apprenticeship standards - exhibit can be filled out by providing detailed information about the occupation, skills, and requirements for the apprenticeship program.
What is the purpose of apprenticeship standards - exhibit?
The purpose of apprenticeship standards - exhibit is to ensure that apprentices receive the necessary training and education to succeed in their chosen occupation.
What information must be reported on apprenticeship standards - exhibit?
Apprenticeship standards - exhibit must include information on the occupation, required skills, on-the-job training, and related instruction.
Fill out your apprenticeship standards - exhibit online with pdfFiller!
pdfFiller is an end-to-end solution for managing, creating, and editing documents and forms in the cloud. Save time and hassle by preparing your tax forms online.

Apprenticeship Standards - Exhibit is not the form you're looking for?Search for another form here.
Relevant keywords
Related Forms
If you believe that this page should be taken down, please follow our DMCA take down process
here
.
This form may include fields for payment information. Data entered in these fields is not covered by PCI DSS compliance.