Get the free Virginia Medicare Supplement Plans - Anthem Blue Cross
Show details
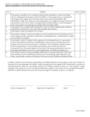
Filename: App16EDMSVAedeliver (Rev. 917)consumer December 11, 2017 11:26 Application for Medicare Supplement and Anthem Extras Virginia Anthem Blue Cross and Blue Shield P.O. Box 27401 Richmond, VA
We are not affiliated with any brand or entity on this form
Get, Create, Make and Sign virginia medicare supplement plans
Edit your virginia medicare supplement plans form online
Type text, complete fillable fields, insert images, highlight or blackout data for discretion, add comments, and more.
Add your legally-binding signature
Draw or type your signature, upload a signature image, or capture it with your digital camera.
Share your form instantly
Email, fax, or share your virginia medicare supplement plans form via URL. You can also download, print, or export forms to your preferred cloud storage service.
How to edit virginia medicare supplement plans online
Here are the steps you need to follow to get started with our professional PDF editor:
1
Create an account. Begin by choosing Start Free Trial and, if you are a new user, establish a profile.
2
Simply add a document. Select Add New from your Dashboard and import a file into the system by uploading it from your device or importing it via the cloud, online, or internal mail. Then click Begin editing.
3
Edit virginia medicare supplement plans. Text may be added and replaced, new objects can be included, pages can be rearranged, watermarks and page numbers can be added, and so on. When you're done editing, click Done and then go to the Documents tab to combine, divide, lock, or unlock the file.
4
Get your file. Select your file from the documents list and pick your export method. You may save it as a PDF, email it, or upload it to the cloud.
With pdfFiller, it's always easy to work with documents. Try it!
Uncompromising security for your PDF editing and eSignature needs
Your private information is safe with pdfFiller. We employ end-to-end encryption, secure cloud storage, and advanced access control to protect your documents and maintain regulatory compliance.
How to fill out virginia medicare supplement plans
How to fill out virginia medicare supplement plans
01
Step 1: Determine your eligibility for Virginia Medicare Supplement plans.
02
Step 2: Research different insurance companies that offer Medicare Supplement plans in Virginia.
03
Step 3: Compare the coverage and costs of different plans.
04
Step 4: Choose a plan that best fits your needs and budget.
05
Step 5: Fill out the application form for the chosen Medicare Supplement plan.
06
Step 6: Provide all necessary personal and medical information.
07
Step 7: Review the application for accuracy before submitting it.
08
Step 8: Submit the completed application either online, by mail, or in person.
09
Step 9: Wait for the insurance company to review your application.
10
Step 10: Once approved, make the required payment to activate your Medicare Supplement plan.
Who needs virginia medicare supplement plans?
01
Anyone who is eligible for Medicare in Virginia can consider getting a Medicare Supplement plan.
02
It is particularly beneficial for individuals who anticipate high medical expenses and want additional coverage beyond what Original Medicare provides.
03
Those who frequently visit doctors or specialists, need prescription medications, or require frequent hospital visits may find these plans useful.
04
Additionally, individuals who travel frequently and need coverage outside of the United States may also find Medicare Supplement plans beneficial.
Fill
form
: Try Risk Free
For pdfFiller’s FAQs
Below is a list of the most common customer questions. If you can’t find an answer to your question, please don’t hesitate to reach out to us.
Can I sign the virginia medicare supplement plans electronically in Chrome?
You can. With pdfFiller, you get a strong e-signature solution built right into your Chrome browser. Using our addon, you may produce a legally enforceable eSignature by typing, sketching, or photographing it. Choose your preferred method and eSign in minutes.
How do I fill out the virginia medicare supplement plans form on my smartphone?
Use the pdfFiller mobile app to fill out and sign virginia medicare supplement plans on your phone or tablet. Visit our website to learn more about our mobile apps, how they work, and how to get started.
How do I fill out virginia medicare supplement plans on an Android device?
Complete virginia medicare supplement plans and other documents on your Android device with the pdfFiller app. The software allows you to modify information, eSign, annotate, and share files. You may view your papers from anywhere with an internet connection.
What is virginia medicare supplement plans?
Virginia Medicare supplement plans are additional insurance policies that can be purchased to help cover the expenses that original Medicare does not.
Who is required to file virginia medicare supplement plans?
Individuals who are eligible for Medicare and wish to have additional coverage can choose to enroll in a Virginia Medicare supplement plan.
How to fill out virginia medicare supplement plans?
Virginia Medicare supplement plans can be filled out by contacting insurance companies that offer these plans and completing the required enrollment forms.
What is the purpose of virginia medicare supplement plans?
The purpose of Virginia Medicare supplement plans is to provide additional coverage for medical expenses not covered by original Medicare, such as copayments, coinsurance, and deductibles.
What information must be reported on virginia medicare supplement plans?
Virginia Medicare supplement plans typically require personal information, Medicare information, and details about the selected plan coverage.
Fill out your virginia medicare supplement plans online with pdfFiller!
pdfFiller is an end-to-end solution for managing, creating, and editing documents and forms in the cloud. Save time and hassle by preparing your tax forms online.
Virginia Medicare Supplement Plans is not the form you're looking for?Search for another form here.
Relevant keywords
Related Forms
If you believe that this page should be taken down, please follow our DMCA take down process
here
.
This form may include fields for payment information. Data entered in these fields is not covered by PCI DSS compliance.