
Get the free StoriesRotary Club of Carrollton-Farmers Branch
Show details
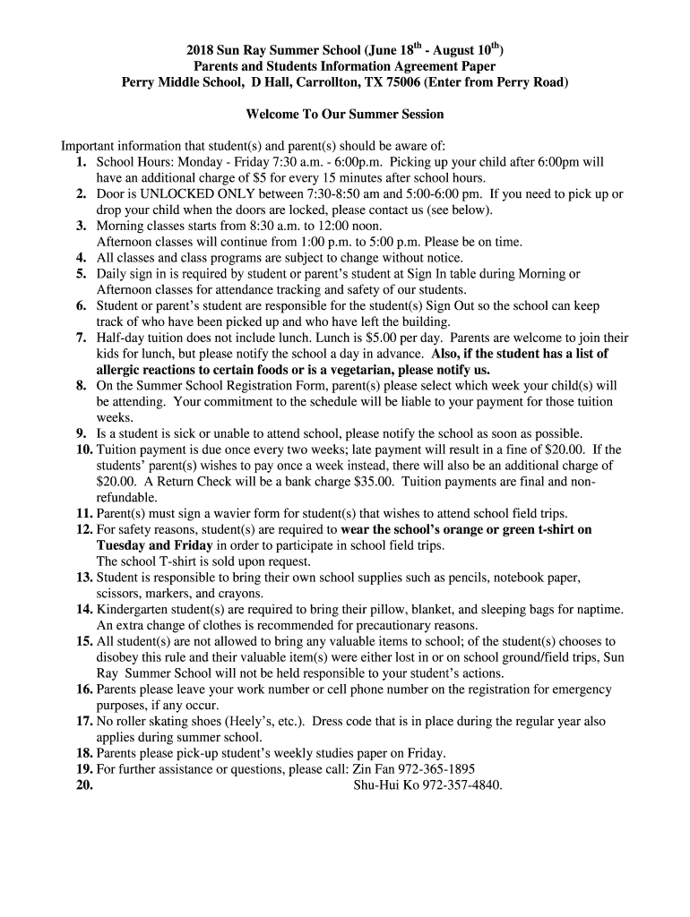
2018 Sun Ray Summer School (June 18th August 10th) Parents and Students Information Agreement Paper Perry Middle School, D Hall, Carrollton, TX 75006 (Enter from Perry Road) Welcome To Our Summer
We are not affiliated with any brand or entity on this form
Get, Create, Make and Sign storiesrotary club of carrollton-farmers

Edit your storiesrotary club of carrollton-farmers form online
Type text, complete fillable fields, insert images, highlight or blackout data for discretion, add comments, and more.

Add your legally-binding signature
Draw or type your signature, upload a signature image, or capture it with your digital camera.

Share your form instantly
Email, fax, or share your storiesrotary club of carrollton-farmers form via URL. You can also download, print, or export forms to your preferred cloud storage service.
How to edit storiesrotary club of carrollton-farmers online
Follow the steps down below to use a professional PDF editor:
1
Sign into your account. If you don't have a profile yet, click Start Free Trial and sign up for one.
2
Upload a document. Select Add New on your Dashboard and transfer a file into the system in one of the following ways: by uploading it from your device or importing from the cloud, web, or internal mail. Then, click Start editing.
3
Edit storiesrotary club of carrollton-farmers. Rearrange and rotate pages, add and edit text, and use additional tools. To save changes and return to your Dashboard, click Done. The Documents tab allows you to merge, divide, lock, or unlock files.
4
Save your file. Select it from your records list. Then, click the right toolbar and select one of the various exporting options: save in numerous formats, download as PDF, email, or cloud.
It's easier to work with documents with pdfFiller than you could have ever thought. You may try it out for yourself by signing up for an account.
Uncompromising security for your PDF editing and eSignature needs
Your private information is safe with pdfFiller. We employ end-to-end encryption, secure cloud storage, and advanced access control to protect your documents and maintain regulatory compliance.
How to fill out storiesrotary club of carrollton-farmers

How to fill out storiesrotary club of carrollton-farmers
01
Start by gathering all the necessary information about the storiesrotary club of carrollton-farmers.
02
Begin with the basic details such as the name, address, and contact information of the club.
03
Then, provide a brief overview of the club's mission and goals.
04
Include any important achievements or milestones of the club.
05
Write about the various projects and initiatives undertaken by the club.
06
Highlight any notable events or activities organized by the club.
07
If possible, include testimonials or stories from members or beneficiaries of the club.
08
Finally, proofread and edit the filled out storiesrotary club of carrollton-farmers to ensure accuracy and clarity.
Who needs storiesrotary club of carrollton-farmers?
01
Individuals or organizations interested in learning more about the storiesrotary club of carrollton-farmers.
02
Potential members who want to join the club and contribute to its cause.
03
Existing members who want to keep track of the club's activities and progress.
04
Beneficiaries of the club's projects and initiatives.
05
Community members who may seek help or support from the club.
Fill
form
: Try Risk Free
For pdfFiller’s FAQs
Below is a list of the most common customer questions. If you can’t find an answer to your question, please don’t hesitate to reach out to us.
How can I edit storiesrotary club of carrollton-farmers from Google Drive?
By combining pdfFiller with Google Docs, you can generate fillable forms directly in Google Drive. No need to leave Google Drive to make edits or sign documents, including storiesrotary club of carrollton-farmers. Use pdfFiller's features in Google Drive to handle documents on any internet-connected device.
How can I send storiesrotary club of carrollton-farmers for eSignature?
Once you are ready to share your storiesrotary club of carrollton-farmers, you can easily send it to others and get the eSigned document back just as quickly. Share your PDF by email, fax, text message, or USPS mail, or notarize it online. You can do all of this without ever leaving your account.
How do I edit storiesrotary club of carrollton-farmers in Chrome?
Adding the pdfFiller Google Chrome Extension to your web browser will allow you to start editing storiesrotary club of carrollton-farmers and other documents right away when you search for them on a Google page. People who use Chrome can use the service to make changes to their files while they are on the Chrome browser. pdfFiller lets you make fillable documents and make changes to existing PDFs from any internet-connected device.
What is storiesrotary club of carrollton-farmers?
The storiesrotary club of carrollton-farmers is an organization that brings together members of the community to participate in service projects and activities.
Who is required to file storiesrotary club of carrollton-farmers?
The officers or designated individuals of the storiesrotary club of carrollton-farmers are required to file the necessary documents.
How to fill out storiesrotary club of carrollton-farmers?
To fill out the storiesrotary club of carrollton-farmers, one must provide accurate and detailed information about the organization's activities, finances, and governance.
What is the purpose of storiesrotary club of carrollton-farmers?
The purpose of storiesrotary club of carrollton-farmers is to serve the community through various projects and initiatives that promote goodwill and fellowship.
What information must be reported on storiesrotary club of carrollton-farmers?
The information reported on storiesrotary club of carrollton-farmers typically includes financial statements, membership details, and descriptions of activities.
Fill out your storiesrotary club of carrollton-farmers online with pdfFiller!
pdfFiller is an end-to-end solution for managing, creating, and editing documents and forms in the cloud. Save time and hassle by preparing your tax forms online.

Storiesrotary Club Of Carrollton-Farmers is not the form you're looking for?Search for another form here.
Relevant keywords
Related Forms
If you believe that this page should be taken down, please follow our DMCA take down process
here
.
This form may include fields for payment information. Data entered in these fields is not covered by PCI DSS compliance.