
Get the free Mail Room Copier-20191030084948
Show details
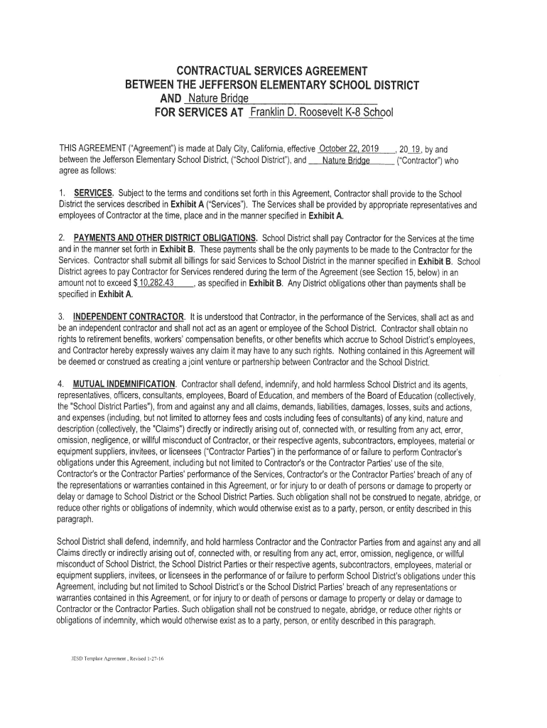
CONTRACTUAL SERVICES AGREEMENT BETWEEN THE JEFFERSON ELEMENTARY SCHOOL DISTRICT AND Nature Bridgeport SERVICES AT Franklin D. Roosevelt K8 Schools AGREEMENT (“Agreement “) is made at Daly City,
We are not affiliated with any brand or entity on this form
Get, Create, Make and Sign mail room copier-20191030084948

Edit your mail room copier-20191030084948 form online
Type text, complete fillable fields, insert images, highlight or blackout data for discretion, add comments, and more.

Add your legally-binding signature
Draw or type your signature, upload a signature image, or capture it with your digital camera.

Share your form instantly
Email, fax, or share your mail room copier-20191030084948 form via URL. You can also download, print, or export forms to your preferred cloud storage service.
How to edit mail room copier-20191030084948 online
To use the professional PDF editor, follow these steps:
1
Set up an account. If you are a new user, click Start Free Trial and establish a profile.
2
Upload a document. Select Add New on your Dashboard and transfer a file into the system in one of the following ways: by uploading it from your device or importing from the cloud, web, or internal mail. Then, click Start editing.
3
Edit mail room copier-20191030084948. Add and change text, add new objects, move pages, add watermarks and page numbers, and more. Then click Done when you're done editing and go to the Documents tab to merge or split the file. If you want to lock or unlock the file, click the lock or unlock button.
4
Get your file. Select your file from the documents list and pick your export method. You may save it as a PDF, email it, or upload it to the cloud.
With pdfFiller, dealing with documents is always straightforward.
Uncompromising security for your PDF editing and eSignature needs
Your private information is safe with pdfFiller. We employ end-to-end encryption, secure cloud storage, and advanced access control to protect your documents and maintain regulatory compliance.
How to fill out mail room copier-20191030084948

How to fill out mail room copier-20191030084948
01
Gather all necessary supplies, including paper, toner, and any other materials needed to operate the copier.
02
Power on the copier and ensure that it is connected to a stable power source.
03
Adjust the settings on the copier according to your desired specifications, such as the number of copies, paper size, and print quality.
04
Open the copier lid and place the document you want to copy face-down on the glass or face-up in the document feeder, depending on the copier's design.
05
Close the copier lid securely.
06
Use the control panel to select the desired copy options, such as color or black-and-white copies, single or double-sided copies, and collation.
07
Press the start button or follow the on-screen prompts to initiate the copying process.
08
Wait for the copier to finish copying your document.
09
Once the copying process is complete, remove your documents from the output tray.
10
Power off the copier and ensure that it is properly maintained for future use.
Who needs mail room copier-20191030084948?
01
Anyone who has documents that need to be duplicated or scanned may need a mail room copier.
02
This includes offices, businesses, schools, government agencies, and individuals who regularly handle paperwork.
03
A mail room copier can be particularly useful for administrative staff, secretaries, or employees responsible for copying and distributing documents within an organization.
Fill
form
: Try Risk Free
For pdfFiller’s FAQs
Below is a list of the most common customer questions. If you can’t find an answer to your question, please don’t hesitate to reach out to us.
How do I modify my mail room copier-20191030084948 in Gmail?
In your inbox, you may use pdfFiller's add-on for Gmail to generate, modify, fill out, and eSign your mail room copier-20191030084948 and any other papers you receive, all without leaving the program. Install pdfFiller for Gmail from the Google Workspace Marketplace by visiting this link. Take away the need for time-consuming procedures and handle your papers and eSignatures with ease.
How do I edit mail room copier-20191030084948 in Chrome?
Install the pdfFiller Chrome Extension to modify, fill out, and eSign your mail room copier-20191030084948, which you can access right from a Google search page. Fillable documents without leaving Chrome on any internet-connected device.
How do I complete mail room copier-20191030084948 on an Android device?
On an Android device, use the pdfFiller mobile app to finish your mail room copier-20191030084948. The program allows you to execute all necessary document management operations, such as adding, editing, and removing text, signing, annotating, and more. You only need a smartphone and an internet connection.
What is mail room copier-20191030084948?
The mail room copier-20191030084948 is a form used to record and report all copies made in the mail room.
Who is required to file mail room copier-20191030084948?
The mail room staff or designated personnel are required to file the mail room copier-20191030084948.
How to fill out mail room copier-20191030084948?
The mail room copier-20191030084948 should be filled out by documenting the total number of copies made, the date, and any additional relevant information.
What is the purpose of mail room copier-20191030084948?
The purpose of the mail room copier-20191030084948 is to track and monitor all copies made in the mail room for record-keeping and compliance purposes.
What information must be reported on mail room copier-20191030084948?
The mail room copier-20191030084948 must report the total number of copies made, the date, and any other relevant details regarding the copying activity.
Fill out your mail room copier-20191030084948 online with pdfFiller!
pdfFiller is an end-to-end solution for managing, creating, and editing documents and forms in the cloud. Save time and hassle by preparing your tax forms online.

Mail Room Copier-20191030084948 is not the form you're looking for?Search for another form here.
Relevant keywords
Related Forms
If you believe that this page should be taken down, please follow our DMCA take down process
here
.
This form may include fields for payment information. Data entered in these fields is not covered by PCI DSS compliance.