
Get the free Saints & Scholars: Summer Theology Institute (the Program) at Holy Cross College...
Show details
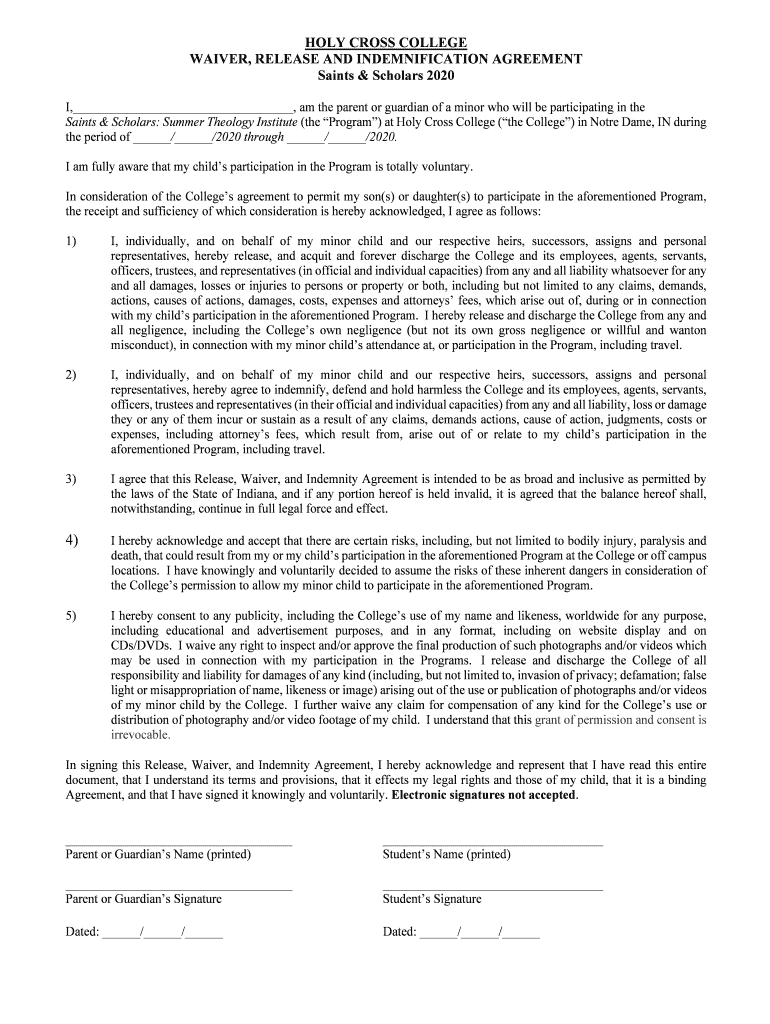
HOLY CROSS COLLEGE WAIVER, RELEASE AND INDEMNIFICATION AGREEMENT Saints & Scholars 2020 I, am the parent or guardian of a minor who will be participating in the Saints & Scholars: Summer Theology
We are not affiliated with any brand or entity on this form
Get, Create, Make and Sign saints amp scholars summer

Edit your saints amp scholars summer form online
Type text, complete fillable fields, insert images, highlight or blackout data for discretion, add comments, and more.

Add your legally-binding signature
Draw or type your signature, upload a signature image, or capture it with your digital camera.

Share your form instantly
Email, fax, or share your saints amp scholars summer form via URL. You can also download, print, or export forms to your preferred cloud storage service.
Editing saints amp scholars summer online
To use our professional PDF editor, follow these steps:
1
Register the account. Begin by clicking Start Free Trial and create a profile if you are a new user.
2
Prepare a file. Use the Add New button. Then upload your file to the system from your device, importing it from internal mail, the cloud, or by adding its URL.
3
Edit saints amp scholars summer. Rearrange and rotate pages, insert new and alter existing texts, add new objects, and take advantage of other helpful tools. Click Done to apply changes and return to your Dashboard. Go to the Documents tab to access merging, splitting, locking, or unlocking functions.
4
Get your file. Select the name of your file in the docs list and choose your preferred exporting method. You can download it as a PDF, save it in another format, send it by email, or transfer it to the cloud.
It's easier to work with documents with pdfFiller than you can have believed. Sign up for a free account to view.
Uncompromising security for your PDF editing and eSignature needs
Your private information is safe with pdfFiller. We employ end-to-end encryption, secure cloud storage, and advanced access control to protect your documents and maintain regulatory compliance.
How to fill out saints amp scholars summer

How to fill out saints amp scholars summer
01
Go to the official website of Saints & Scholars Summer program.
02
Click on the 'Registration' or 'Apply Now' button.
03
Fill out the required personal information such as name, address, email, and phone number.
04
Select the desired program or course you want to enroll in.
05
Provide any additional information or documents required, such as transcripts or letters of recommendation.
06
Review the information you have entered and make sure it is accurate.
07
Pay the registration fee if applicable.
08
Submit the completed application.
09
Wait for confirmation of your application status.
10
If accepted, follow any further instructions provided to complete the enrollment process.
Who needs saints amp scholars summer?
01
Students who want to explore their academic interests and expand their knowledge during the summer break.
02
Individuals who are interested in gaining valuable skills or credits in a specific subject area.
03
High school or college students who want to enhance their college applications or resumes.
04
Professionals who are looking to improve their career prospects or switch fields.
05
Anyone who enjoys learning and wants to engage in a stimulating educational experience.
Fill
form
: Try Risk Free
For pdfFiller’s FAQs
Below is a list of the most common customer questions. If you can’t find an answer to your question, please don’t hesitate to reach out to us.
How do I complete saints amp scholars summer online?
pdfFiller has made filling out and eSigning saints amp scholars summer easy. The solution is equipped with a set of features that enable you to edit and rearrange PDF content, add fillable fields, and eSign the document. Start a free trial to explore all the capabilities of pdfFiller, the ultimate document editing solution.
Can I create an electronic signature for signing my saints amp scholars summer in Gmail?
With pdfFiller's add-on, you may upload, type, or draw a signature in Gmail. You can eSign your saints amp scholars summer and other papers directly in your mailbox with pdfFiller. To preserve signed papers and your personal signatures, create an account.
Can I edit saints amp scholars summer on an iOS device?
You can. Using the pdfFiller iOS app, you can edit, distribute, and sign saints amp scholars summer. Install it in seconds at the Apple Store. The app is free, but you must register to buy a subscription or start a free trial.
What is saints amp scholars summer?
Saints amp Scholars Summer is a program aimed at providing educational and cultural experiences for participants.
Who is required to file saints amp scholars summer?
Participants who are part of the Saints amp Scholars Summer program are required to file.
How to fill out saints amp scholars summer?
To fill out Saints amp Scholars Summer, participants must provide all necessary information requested in the form.
What is the purpose of saints amp scholars summer?
The purpose of Saints amp Scholars Summer is to offer educational and cultural opportunities to participants.
What information must be reported on saints amp scholars summer?
Participants must report their personal information, educational background, and program activities on Saints amp Scholars Summer form.
Fill out your saints amp scholars summer online with pdfFiller!
pdfFiller is an end-to-end solution for managing, creating, and editing documents and forms in the cloud. Save time and hassle by preparing your tax forms online.

Saints Amp Scholars Summer is not the form you're looking for?Search for another form here.
Relevant keywords
Related Forms
If you believe that this page should be taken down, please follow our DMCA take down process
here
.
This form may include fields for payment information. Data entered in these fields is not covered by PCI DSS compliance.