
Get the free Registration InformationBraintree Public Schools, MA
Show details
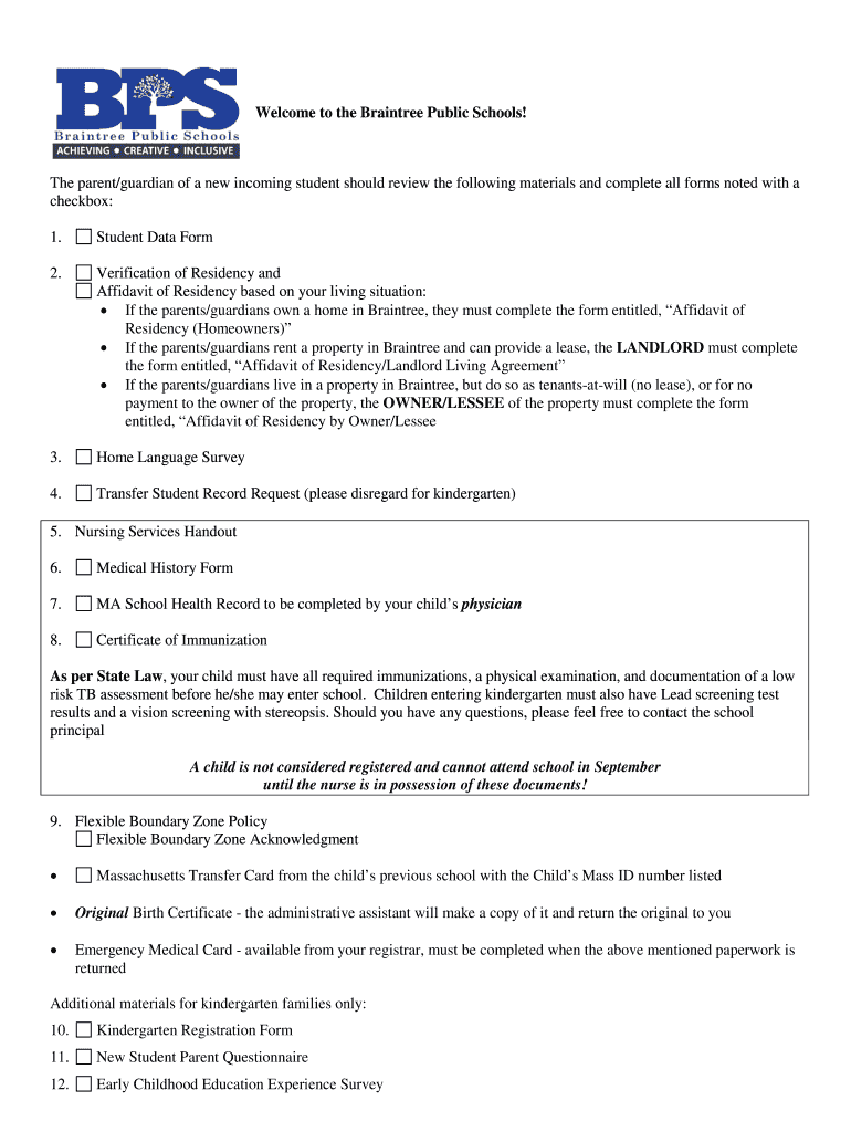
Welcome to the Braintree Public Schools! The parent/guardian of a new incoming student should review the following materials and complete all forms noted with a checkbox: 1. Student Data Form2. Verification
We are not affiliated with any brand or entity on this form
Get, Create, Make and Sign registration informationbraintree public schools

Edit your registration informationbraintree public schools form online
Type text, complete fillable fields, insert images, highlight or blackout data for discretion, add comments, and more.

Add your legally-binding signature
Draw or type your signature, upload a signature image, or capture it with your digital camera.

Share your form instantly
Email, fax, or share your registration informationbraintree public schools form via URL. You can also download, print, or export forms to your preferred cloud storage service.
How to edit registration informationbraintree public schools online
Follow the guidelines below to benefit from the PDF editor's expertise:
1
Log into your account. In case you're new, it's time to start your free trial.
2
Simply add a document. Select Add New from your Dashboard and import a file into the system by uploading it from your device or importing it via the cloud, online, or internal mail. Then click Begin editing.
3
Edit registration informationbraintree public schools. Text may be added and replaced, new objects can be included, pages can be rearranged, watermarks and page numbers can be added, and so on. When you're done editing, click Done and then go to the Documents tab to combine, divide, lock, or unlock the file.
4
Save your file. Select it in the list of your records. Then, move the cursor to the right toolbar and choose one of the available exporting methods: save it in multiple formats, download it as a PDF, send it by email, or store it in the cloud.
With pdfFiller, it's always easy to deal with documents.
Uncompromising security for your PDF editing and eSignature needs
Your private information is safe with pdfFiller. We employ end-to-end encryption, secure cloud storage, and advanced access control to protect your documents and maintain regulatory compliance.
How to fill out registration informationbraintree public schools

How to fill out registration informationbraintree public schools
01
Step 1: Visit the official website of Braintree Public Schools.
02
Step 2: Look for the registration section on the website.
03
Step 3: Click on the registration link or form.
04
Step 4: Fill out all the required information such as student's name, date of birth, address, parent/guardian details, etc.
05
Step 5: Submit the registration form online or follow the instructions to submit it in person.
06
Step 6: Await confirmation or further instructions from Braintree Public Schools regarding the registration process.
Who needs registration informationbraintree public schools?
01
Any new student or their parent/guardian who wishes to enroll them in Braintree Public Schools needs to fill out the registration information.
Fill
form
: Try Risk Free
For pdfFiller’s FAQs
Below is a list of the most common customer questions. If you can’t find an answer to your question, please don’t hesitate to reach out to us.
How do I execute registration informationbraintree public schools online?
Easy online registration informationbraintree public schools completion using pdfFiller. Also, it allows you to legally eSign your form and change original PDF material. Create a free account and manage documents online.
How do I fill out the registration informationbraintree public schools form on my smartphone?
Use the pdfFiller mobile app to complete and sign registration informationbraintree public schools on your mobile device. Visit our web page (https://edit-pdf-ios-android.pdffiller.com/) to learn more about our mobile applications, the capabilities you’ll have access to, and the steps to take to get up and running.
How do I complete registration informationbraintree public schools on an iOS device?
Make sure you get and install the pdfFiller iOS app. Next, open the app and log in or set up an account to use all of the solution's editing tools. If you want to open your registration informationbraintree public schools, you can upload it from your device or cloud storage, or you can type the document's URL into the box on the right. After you fill in all of the required fields in the document and eSign it, if that is required, you can save or share it with other people.
What is registration information for Braintree Public Schools?
Registration information for Braintree Public Schools includes details about students, parents or guardians, contact information, medical history, and previous educational records.
Who is required to file registration information for Braintree Public Schools?
Parents or guardians of students attending Braintree Public Schools are required to file registration information.
How to fill out registration information for Braintree Public Schools?
Registration information for Braintree Public Schools can be filled out online through the school's website or in person at the school's administrative office.
What is the purpose of registration information for Braintree Public Schools?
The purpose of registration information for Braintree Public Schools is to enroll students in the school system and gather necessary information for administrative and educational purposes.
What information must be reported on registration information for Braintree Public Schools?
Information that must be reported on registration information for Braintree Public Schools includes student's name, date of birth, address, emergency contacts, medical information, and previous education history.
Fill out your registration informationbraintree public schools online with pdfFiller!
pdfFiller is an end-to-end solution for managing, creating, and editing documents and forms in the cloud. Save time and hassle by preparing your tax forms online.

Registration Informationbraintree Public Schools is not the form you're looking for?Search for another form here.
Relevant keywords
Related Forms
If you believe that this page should be taken down, please follow our DMCA take down process
here
.
This form may include fields for payment information. Data entered in these fields is not covered by PCI DSS compliance.