Get the free st. cloud state university rfp for predesign services for ...
Show details
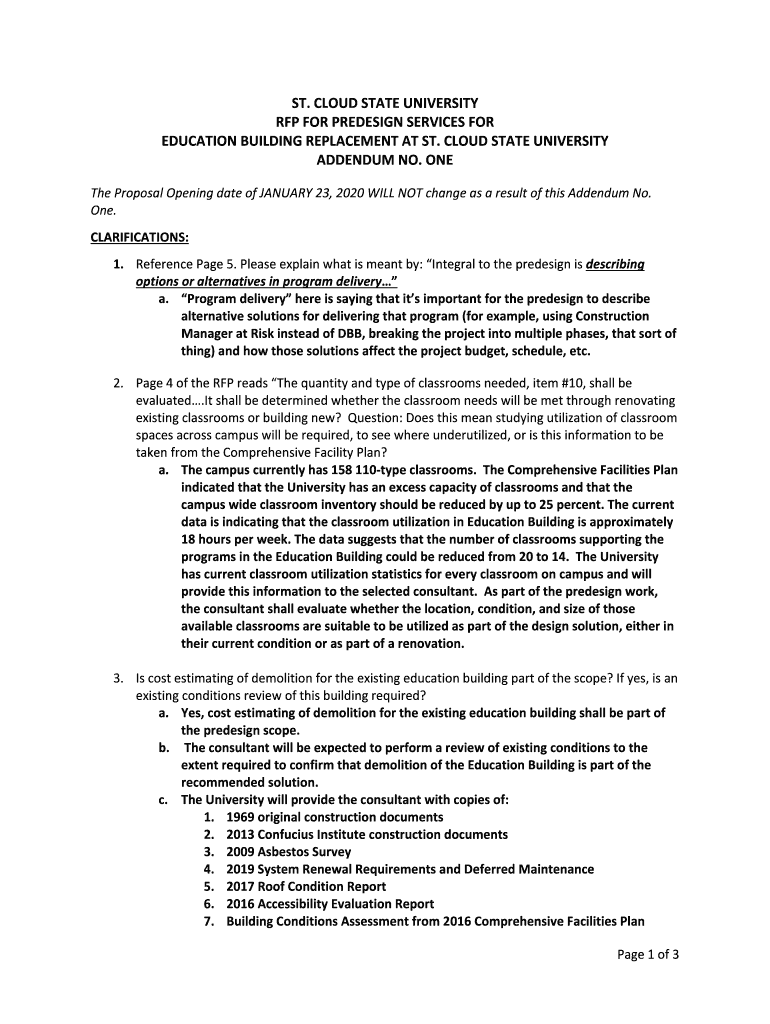
ST. CLOUD STATE UNIVERSITY
RFP FOR PREDESIGN SERVICES FOR
EDUCATION BUILDING REPLACEMENT AT ST. CLOUD STATE UNIVERSITY
ADDENDUM NO. ONE
The Proposal Opening date of JANUARY 23, 2020, WILL NOT change
We are not affiliated with any brand or entity on this form
Get, Create, Make and Sign st cloud state university
Edit your st cloud state university form online
Type text, complete fillable fields, insert images, highlight or blackout data for discretion, add comments, and more.
Add your legally-binding signature
Draw or type your signature, upload a signature image, or capture it with your digital camera.
Share your form instantly
Email, fax, or share your st cloud state university form via URL. You can also download, print, or export forms to your preferred cloud storage service.
How to edit st cloud state university online
To use the professional PDF editor, follow these steps:
1
Log in. Click Start Free Trial and create a profile if necessary.
2
Upload a file. Select Add New on your Dashboard and upload a file from your device or import it from the cloud, online, or internal mail. Then click Edit.
3
Edit st cloud state university. Rearrange and rotate pages, add new and changed texts, add new objects, and use other useful tools. When you're done, click Done. You can use the Documents tab to merge, split, lock, or unlock your files.
4
Save your file. Select it from your records list. Then, click the right toolbar and select one of the various exporting options: save in numerous formats, download as PDF, email, or cloud.
With pdfFiller, it's always easy to work with documents.
Uncompromising security for your PDF editing and eSignature needs
Your private information is safe with pdfFiller. We employ end-to-end encryption, secure cloud storage, and advanced access control to protect your documents and maintain regulatory compliance.
How to fill out st cloud state university
How to fill out st cloud state university
01
To fill out St. Cloud State University application, follow these steps:
02
Visit the official website of St. Cloud State University.
03
Navigate to the admissions section and find the application form.
04
Fill out all the required personal information, such as your name, contact information, and educational background.
05
Provide accurate details about your academic achievements, including your high school GPA and standardized test scores if applicable.
06
Complete any additional sections or essays that are required.
07
Review your application carefully to ensure all information is accurate and complete.
08
Submit your application online or through the specified method mentioned on the website.
09
Pay the application fee, if applicable.
10
Keep track of your application status and follow up with any additional documents or information requested by the university.
11
Wait for a response from St. Cloud State University regarding your application.
Who needs st cloud state university?
01
St. Cloud State University is ideal for the following individuals:
02
- High school graduates who are looking for a quality higher education institution.
03
- Students who are interested in a wide range of undergraduate and graduate programs.
04
- Individuals seeking a comprehensive learning experience with diverse academic and extracurricular opportunities.
05
- Students who want to be part of a vibrant campus community and engage in various cultural and social activities.
06
- Those who aspire to enhance their career prospects through specialized education and professional development.
07
- International students who wish to study in the United States and benefit from a supportive and inclusive environment.
08
- Individuals who value quality education, outstanding faculty, and a commitment to student success.
09
- Students who are motivated, curious, and eager to explore new knowledge and ideas.
Fill
form
: Try Risk Free
For pdfFiller’s FAQs
Below is a list of the most common customer questions. If you can’t find an answer to your question, please don’t hesitate to reach out to us.
How do I modify my st cloud state university in Gmail?
It's easy to use pdfFiller's Gmail add-on to make and edit your st cloud state university and any other documents you get right in your email. You can also eSign them. Take a look at the Google Workspace Marketplace and get pdfFiller for Gmail. Get rid of the time-consuming steps and easily manage your documents and eSignatures with the help of an app.
How do I complete st cloud state university on an iOS device?
In order to fill out documents on your iOS device, install the pdfFiller app. Create an account or log in to an existing one if you have a subscription to the service. Once the registration process is complete, upload your st cloud state university. You now can take advantage of pdfFiller's advanced functionalities: adding fillable fields and eSigning documents, and accessing them from any device, wherever you are.
Can I edit st cloud state university on an Android device?
You can make any changes to PDF files, such as st cloud state university, with the help of the pdfFiller mobile app for Android. Edit, sign, and send documents right from your mobile device. Install the app and streamline your document management wherever you are.
What is st cloud state university?
St. Cloud State University is a public university located in St. Cloud, Minnesota.
Who is required to file st cloud state university?
All students who attend St. Cloud State University are required to file certain forms and disclosures as part of their enrollment.
How to fill out st cloud state university?
To fill out St. Cloud State University forms, students can access them online through the university's official website or contact the university's office for assistance.
What is the purpose of st cloud state university?
The purpose of St. Cloud State University is to provide quality education and academic programs to students, preparing them for successful careers and contributing to the community.
What information must be reported on st cloud state university?
Students may need to report information such as personal details, academic records, financial aid, and any changes in their enrollment status.
Fill out your st cloud state university online with pdfFiller!
pdfFiller is an end-to-end solution for managing, creating, and editing documents and forms in the cloud. Save time and hassle by preparing your tax forms online.
St Cloud State University is not the form you're looking for?Search for another form here.
Relevant keywords
Related Forms
If you believe that this page should be taken down, please follow our DMCA take down process
here
.
This form may include fields for payment information. Data entered in these fields is not covered by PCI DSS compliance.