Form preview

Get the free OMB 3150-0026, Final Federal Register Notice, NRC Form 354 Data Report on Spouse - F...

Get Form
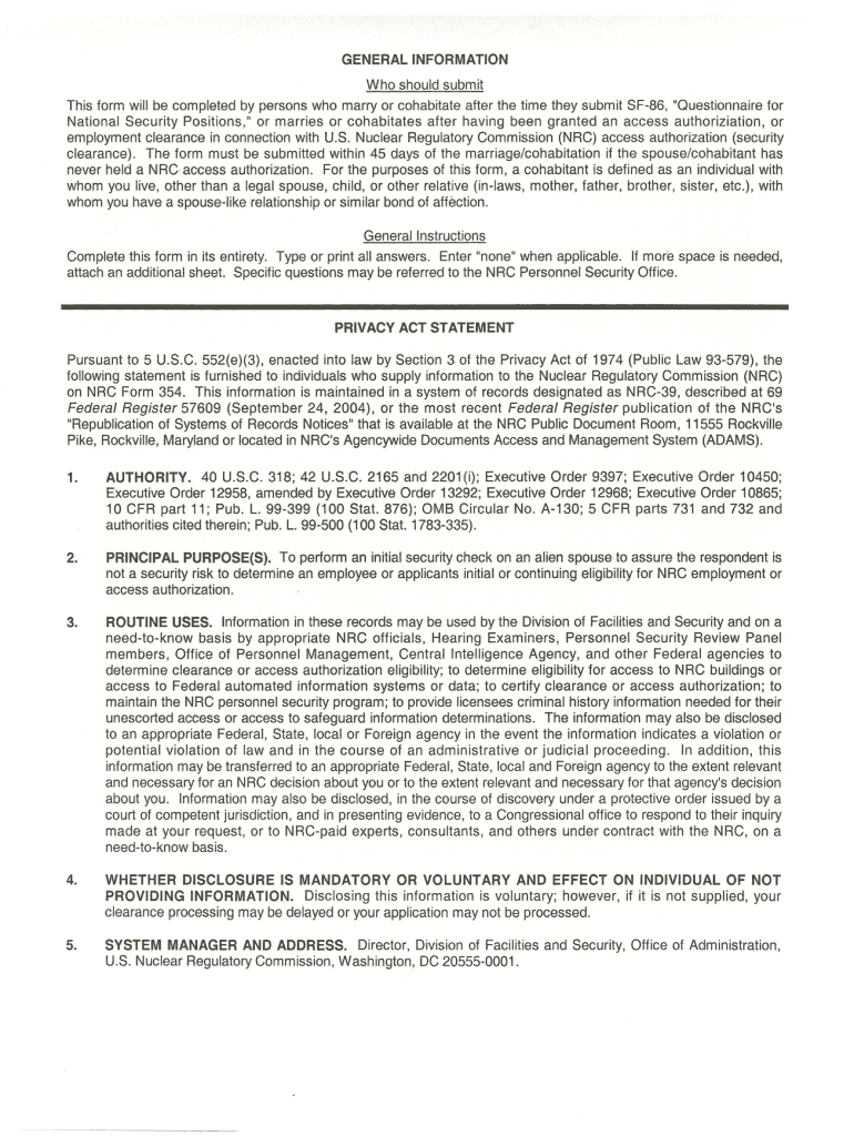
GENERAL INFORMATION Who should submit This form will be completed by persons who marry or cohabit ate after the time they submit SF86, “Questionnaire for National Security Positions, or marries
We are not affiliated with any brand or entity on this form

Get, Create, Make and Sign omb 3150-0026 final federal

Edit
Edit your omb 3150-0026 final federal form online
Type text, complete fillable fields, insert images, highlight or blackout data for discretion, add comments, and more.
Add
Add your legally-binding signature
Draw or type your signature, upload a signature image, or capture it with your digital camera.
Share
Share your form instantly
Email, fax, or share your omb 3150-0026 final federal form via URL. You can also download, print, or export forms to your preferred cloud storage service.

Editing omb 3150-0026 final federal online

9.5
Ease of Setup
pdfFiller User Ratings on G2
9.0
Ease of Use
pdfFiller User Ratings on G2
To use our professional PDF editor, follow these steps:
1
Log in. Click Start Free Trial and create a profile if necessary.
2
Upload a file. Select Add New on your Dashboard and upload a file from your device or import it from the cloud, online, or internal mail. Then click Edit.
3
Edit omb 3150-0026 final federal. Rearrange and rotate pages, insert new and alter existing texts, add new objects, and take advantage of other helpful tools. Click Done to apply changes and return to your Dashboard. Go to the Documents tab to access merging, splitting, locking, or unlocking functions.
4
Save your file. Select it from your records list. Then, click the right toolbar and select one of the various exporting options: save in numerous formats, download as PDF, email, or cloud.
With pdfFiller, it's always easy to work with documents.

Uncompromising security for your PDF editing and eSignature needs

Your private information is safe with pdfFiller. We employ end-to-end encryption, secure cloud storage, and advanced access control to protect your documents and maintain regulatory compliance.
GDPR
AICPA SOC 2
PCI
HIPAA
CCPA
FDA

How to fill out omb 3150-0026 final federal

Illustration

How to fill out omb 3150-0026 final federal

01
To fill out OMB 3150-0026 Final Federal form, follow these steps:
02
Read the instructions carefully. Make sure you understand the purpose and requirements of the form.
03
Gather all the necessary information and documents needed to complete the form. This may include personal identification, financial records, or other relevant information.
04
Start by entering your personal details in the appropriate sections, such as your name, address, and contact information.
05
Proceed to fill out each section of the form, following the provided instructions. Make sure to provide accurate and complete information.
06
Double-check all the entries to ensure accuracy. Any mistakes or omissions could lead to delays or potential issues with your application.
07
Review the completed form thoroughly, ensuring that all sections are filled out correctly.
08
Sign and date the form as required.
09
Make a copy of the completed form for your records.
10
Submit the form according to the provided instructions. This may involve mailing it to the relevant address or submitting it online if applicable.
11
If necessary, track the status of your submission to ensure it has been received and processed.
12
If any additional steps or documents are requested, follow up promptly to provide the requested information.

Who needs omb 3150-0026 final federal?

01
OMB 3150-0026 Final Federal form is typically needed by individuals or organizations involved in federal programs or contracts. This form is used to collect necessary information for the purpose of compliance, reporting, or evaluation of federal programs. The specific requirement for this form may vary depending on the program or contract involved, and it is important to consult the relevant guidelines or authorities to determine if this form is required.
Fill form : Try Risk Free
Users Most Likely To Recommend - Summer 2025
Grid Leader in Small-Business - Summer 2025
High Performer - Summer 2025
Regional Leader - Summer 2025
Easiest To Do Business With - Summer 2025
Best Meets Requirements- Summer 2025
Rate the form
4.2
Satisfied
24 Votes

For pdfFiller’s FAQs

Below is a list of the most common customer questions. If you can’t find an answer to your question, please don’t hesitate to reach out to us.

With pdfFiller, an all-in-one online tool for professional document management, it's easy to fill out documents. Over 25 million fillable forms are available on our website, and you can find the omb 3150-0026 final federal in a matter of seconds. Open it right away and start making it your own with help from advanced editing tools.
Use pdfFiller's Gmail add-on to upload, type, or draw a signature. Your omb 3150-0026 final federal and other papers may be signed using pdfFiller. Register for a free account to preserve signed papers and signatures.
You can make any changes to PDF files, like omb 3150-0026 final federal, with the help of the pdfFiller Android app. Edit, sign, and send documents right from your phone or tablet. You can use the app to make document management easier wherever you are.
Fill out your omb 3150-0026 final federal online with pdfFiller!

pdfFiller is an end-to-end solution for managing, creating, and editing documents and forms in the cloud. Save time and hassle by preparing your tax forms online.

Get started now
Form preview
If you believe that this page should be taken down, please follow our DMCA take down process here .
This form may include fields for payment information. Data entered in these fields is not covered by PCI DSS compliance.