Get the free state board of regents salt lake community college - Utah.gov - medicine utah
Show details
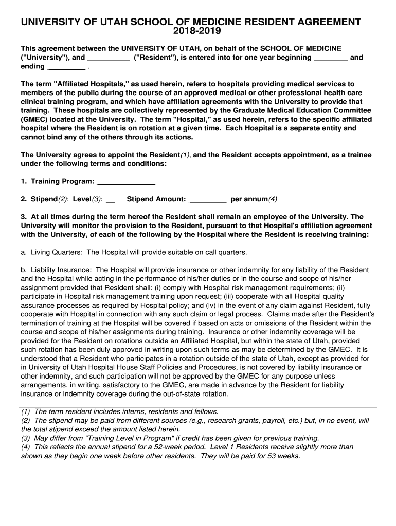
UNIVERSITY OF UTAH SCHOOL OF MEDICINE RESIDENT AGREEMENT 20182019 This agreement between the UNIVERSITY OF UTAH, on behalf of the SCHOOL OF MEDICINE (“University “), and (“Resident “), is
We are not affiliated with any brand or entity on this form
Get, Create, Make and Sign state board of regents
Edit your state board of regents form online
Type text, complete fillable fields, insert images, highlight or blackout data for discretion, add comments, and more.
Add your legally-binding signature
Draw or type your signature, upload a signature image, or capture it with your digital camera.
Share your form instantly
Email, fax, or share your state board of regents form via URL. You can also download, print, or export forms to your preferred cloud storage service.
Editing state board of regents online
To use our professional PDF editor, follow these steps:
1
Create an account. Begin by choosing Start Free Trial and, if you are a new user, establish a profile.
2
Upload a document. Select Add New on your Dashboard and transfer a file into the system in one of the following ways: by uploading it from your device or importing from the cloud, web, or internal mail. Then, click Start editing.
3
Edit state board of regents. Rearrange and rotate pages, add new and changed texts, add new objects, and use other useful tools. When you're done, click Done. You can use the Documents tab to merge, split, lock, or unlock your files.
4
Save your file. Choose it from the list of records. Then, shift the pointer to the right toolbar and select one of the several exporting methods: save it in multiple formats, download it as a PDF, email it, or save it to the cloud.
pdfFiller makes working with documents easier than you could ever imagine. Create an account to find out for yourself how it works!
Uncompromising security for your PDF editing and eSignature needs
Your private information is safe with pdfFiller. We employ end-to-end encryption, secure cloud storage, and advanced access control to protect your documents and maintain regulatory compliance.
How to fill out state board of regents
How to fill out state board of regents
01
To fill out the state board of regents form, follow these steps:
02
Begin by gathering all necessary documents and information, such as identification, contact details, and academic qualifications.
03
Visit the official website of the state board of regents and locate the 'Application' or 'Apply Now' section.
04
Click on the application link to open the form.
05
Start by providing your personal information, including your full name, date of birth, and social security number.
06
Next, enter your contact details, such as your address, phone number, and email address.
07
Provide information about your academic qualifications, including the institutions you have attended, degrees earned, and any relevant certifications.
08
If required, upload scanned copies of your academic transcripts and any supporting documents.
09
Read all the provided instructions carefully and ensure that you fill out each section accurately.
10
Review your completed form to ensure all information is correct and complete.
11
Submit the form electronically by clicking the 'Submit' or 'Finish' button.
12
Keep a copy of your submitted application for your records.
13
Wait for a confirmation email or notification from the state board of regents regarding the status of your application.
14
Follow up with any additional requirements or requests from the board, if necessary.
15
Once your application is reviewed and approved, you may be required to attend an interview or complete any other final steps.
16
If your application is successful, you will receive further instructions on how to proceed.
Who needs state board of regents?
01
The state board of regents is needed by individuals who wish to pursue higher education or professional training in various fields. Common individuals who need to interact with the state board of regents include:
02
- High school graduates or students planning to attend college/university
03
- Individuals seeking admission to postgraduate programs
04
- Professionals looking to obtain licenses or certifications in regulated fields
05
- Teaching professionals requiring accreditation or certification
06
- Individuals applying for financial aid or scholarships
07
- Employers or organizations seeking accreditation or verification of educational institutions
08
- Researchers or scholars requiring access to academic resources or grants
09
Overall, anyone looking to engage with the educational or professional systems governed by the state board of regents will likely need to interact with the board at some point.
Fill
form
: Try Risk Free
For pdfFiller’s FAQs
Below is a list of the most common customer questions. If you can’t find an answer to your question, please don’t hesitate to reach out to us.
Can I create an eSignature for the state board of regents in Gmail?
You can easily create your eSignature with pdfFiller and then eSign your state board of regents directly from your inbox with the help of pdfFiller’s add-on for Gmail. Please note that you must register for an account in order to save your signatures and signed documents.
How can I edit state board of regents on a smartphone?
The easiest way to edit documents on a mobile device is using pdfFiller’s mobile-native apps for iOS and Android. You can download those from the Apple Store and Google Play, respectively. You can learn more about the apps here. Install and log in to the application to start editing state board of regents.
How do I complete state board of regents on an Android device?
Use the pdfFiller mobile app and complete your state board of regents and other documents on your Android device. The app provides you with all essential document management features, such as editing content, eSigning, annotating, sharing files, etc. You will have access to your documents at any time, as long as there is an internet connection.
What is state board of regents?
The State Board of Regents is a governing body responsible for overseeing public higher education institutions within a state.
Who is required to file state board of regents?
Public higher education institutions are required to file the state board of regents.
How to fill out state board of regents?
To fill out the state board of regents, institutions must provide detailed information about their financial and academic performance.
What is the purpose of state board of regents?
The purpose of the state board of regents is to ensure accountability and oversight of public higher education institutions.
What information must be reported on state board of regents?
Information such as financial statements, enrollment data, and graduation rates must be reported on the state board of regents.
Fill out your state board of regents online with pdfFiller!
pdfFiller is an end-to-end solution for managing, creating, and editing documents and forms in the cloud. Save time and hassle by preparing your tax forms online.
State Board Of Regents is not the form you're looking for?Search for another form here.
Relevant keywords
Related Forms
If you believe that this page should be taken down, please follow our DMCA take down process
here
.
This form may include fields for payment information. Data entered in these fields is not covered by PCI DSS compliance.