
Get the free FTD CCPA Rights Request Form
Show details
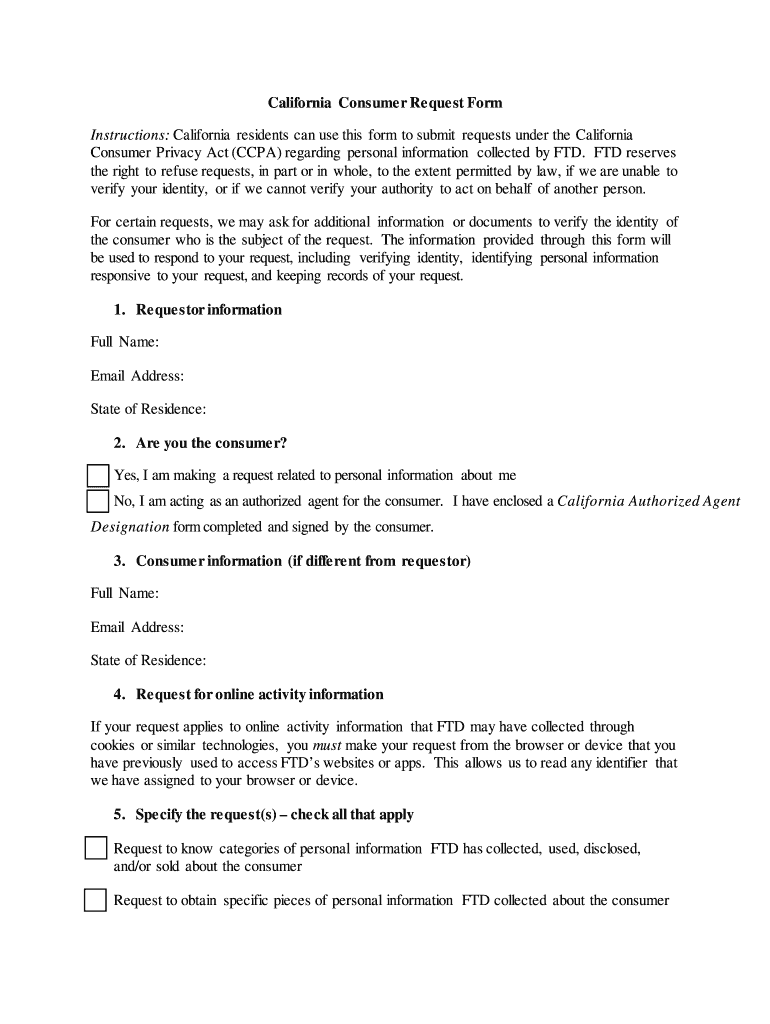
California Consumer Request Form
Instructions: California residents can use this form to submit requests under the California
Consumer Privacy Act (CCPA) regarding personal information collected by
We are not affiliated with any brand or entity on this form
Get, Create, Make and Sign ftd ccpa rights request

Edit your ftd ccpa rights request form online
Type text, complete fillable fields, insert images, highlight or blackout data for discretion, add comments, and more.

Add your legally-binding signature
Draw or type your signature, upload a signature image, or capture it with your digital camera.

Share your form instantly
Email, fax, or share your ftd ccpa rights request form via URL. You can also download, print, or export forms to your preferred cloud storage service.
Editing ftd ccpa rights request online
To use the professional PDF editor, follow these steps below:
1
Create an account. Begin by choosing Start Free Trial and, if you are a new user, establish a profile.
2
Upload a file. Select Add New on your Dashboard and upload a file from your device or import it from the cloud, online, or internal mail. Then click Edit.
3
Edit ftd ccpa rights request. Rearrange and rotate pages, add and edit text, and use additional tools. To save changes and return to your Dashboard, click Done. The Documents tab allows you to merge, divide, lock, or unlock files.
4
Get your file. When you find your file in the docs list, click on its name and choose how you want to save it. To get the PDF, you can save it, send an email with it, or move it to the cloud.
pdfFiller makes working with documents easier than you could ever imagine. Register for an account and see for yourself!
Uncompromising security for your PDF editing and eSignature needs
Your private information is safe with pdfFiller. We employ end-to-end encryption, secure cloud storage, and advanced access control to protect your documents and maintain regulatory compliance.
How to fill out ftd ccpa rights request

How to fill out ftd ccpa rights request
01
To fill out an FTD CCPA rights request, follow these steps:
1. Determine the type of request: Decide whether you want to make a request to know, delete, or opt-out of the sale of your personal information.
2. Find the company's website: Visit the website of the company from whom you want to request your CCPA rights.
3. Look for the CCPA compliance section: Navigate to the CCPA compliance section on the company's website.
4. Locate the rights request form: Find the specific form or process provided by the company to submit your CCPA rights request.
5. Provide identification information: Fill out the necessary fields on the form, such as your name, contact details, and any required identification verification.
6. Specify the request type: Indicate whether you are making a request to know, delete, or opt-out.
7. Submit the request: Follow the instructions provided by the company to submit your FTD CCPA rights request.
8. Follow up: Keep a record of your request and follow up with the company if necessary to ensure your rights are addressed.
Who needs ftd ccpa rights request?
01
Anyone who is a California resident and wants to exercise their rights under the California Consumer Privacy Act (CCPA) needs an FTD CCPA rights request. This includes individuals who want to know what personal information is being collected about them, want to delete their personal information, or want to opt-out of the sale of their personal information to third parties.
Fill
form
: Try Risk Free
For pdfFiller’s FAQs
Below is a list of the most common customer questions. If you can’t find an answer to your question, please don’t hesitate to reach out to us.
Can I sign the ftd ccpa rights request electronically in Chrome?
Yes. By adding the solution to your Chrome browser, you can use pdfFiller to eSign documents and enjoy all of the features of the PDF editor in one place. Use the extension to create a legally-binding eSignature by drawing it, typing it, or uploading a picture of your handwritten signature. Whatever you choose, you will be able to eSign your ftd ccpa rights request in seconds.
Can I edit ftd ccpa rights request on an iOS device?
You can. Using the pdfFiller iOS app, you can edit, distribute, and sign ftd ccpa rights request. Install it in seconds at the Apple Store. The app is free, but you must register to buy a subscription or start a free trial.
How can I fill out ftd ccpa rights request on an iOS device?
Download and install the pdfFiller iOS app. Then, launch the app and log in or create an account to have access to all of the editing tools of the solution. Upload your ftd ccpa rights request from your device or cloud storage to open it, or input the document URL. After filling out all of the essential areas in the document and eSigning it (if necessary), you may save it or share it with others.
What is ftd ccpa rights request?
FTD CCPA rights request is a legal process for California consumers to request access to or deletion of their personal information held by a business covered by the California Consumer Privacy Act (CCPA).
Who is required to file ftd ccpa rights request?
California consumers who want to access or delete their personal information held by a business covered by CCPA are required to file FTD CCPA rights request.
How to fill out ftd ccpa rights request?
To fill out FTD CCPA rights request, consumers can typically submit a request through the business's designated methods, such as an online form, toll-free phone number, or email address. The request must include specific details to allow the business to verify the consumer's identity and locate the requested information.
What is the purpose of ftd ccpa rights request?
The purpose of FTD CCPA rights request is to provide California consumers with greater transparency and control over their personal information held by businesses subject to CCPA, thereby enhancing consumer privacy rights.
What information must be reported on ftd ccpa rights request?
FTD CCPA rights request typically requires consumers to provide their name, contact information, and specific details related to the requested personal information, such as account numbers or transaction history, depending on the nature of the request.
Fill out your ftd ccpa rights request online with pdfFiller!
pdfFiller is an end-to-end solution for managing, creating, and editing documents and forms in the cloud. Save time and hassle by preparing your tax forms online.

Ftd Ccpa Rights Request is not the form you're looking for?Search for another form here.
Relevant keywords
Related Forms
If you believe that this page should be taken down, please follow our DMCA take down process
here
.
This form may include fields for payment information. Data entered in these fields is not covered by PCI DSS compliance.