Get the free Environmental Initial Study - Granicus
Show details
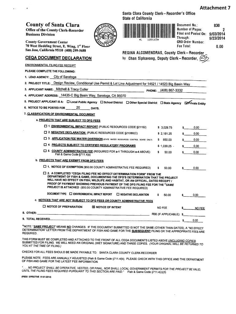
Attachment7Environmental Initial Study and Negative Declaration: Design Review, Conditional Use Permit & Lot Line Adjustment for 14521 / 14523 Big Basin Way Owners: Mitchell & Tracy Cutler 14435C
We are not affiliated with any brand or entity on this form
Get, Create, Make and Sign environmental initial study
Edit your environmental initial study form online
Type text, complete fillable fields, insert images, highlight or blackout data for discretion, add comments, and more.
Add your legally-binding signature
Draw or type your signature, upload a signature image, or capture it with your digital camera.
Share your form instantly
Email, fax, or share your environmental initial study form via URL. You can also download, print, or export forms to your preferred cloud storage service.
How to edit environmental initial study online
To use the professional PDF editor, follow these steps below:
1
Set up an account. If you are a new user, click Start Free Trial and establish a profile.
2
Upload a file. Select Add New on your Dashboard and upload a file from your device or import it from the cloud, online, or internal mail. Then click Edit.
3
Edit environmental initial study. Add and change text, add new objects, move pages, add watermarks and page numbers, and more. Then click Done when you're done editing and go to the Documents tab to merge or split the file. If you want to lock or unlock the file, click the lock or unlock button.
4
Save your file. Choose it from the list of records. Then, shift the pointer to the right toolbar and select one of the several exporting methods: save it in multiple formats, download it as a PDF, email it, or save it to the cloud.
pdfFiller makes dealing with documents a breeze. Create an account to find out!
Uncompromising security for your PDF editing and eSignature needs
Your private information is safe with pdfFiller. We employ end-to-end encryption, secure cloud storage, and advanced access control to protect your documents and maintain regulatory compliance.
How to fill out environmental initial study
How to fill out environmental initial study
01
Begin by gathering all the necessary information and documents related to the environmental study.
02
Review the guidelines and regulations set forth by the regulatory authority for completing the environmental initial study.
03
Identify the scope and objectives of the study, which may include assessing potential environmental impacts, evaluating mitigation measures, and identifying alternatives.
04
Conduct a thorough site visit to observe and document the existing environmental conditions and any potential areas of concern.
05
Collect relevant data and information through surveys, interviews, research, and analysis.
06
Assess the potential environmental impacts of the proposed project or activity, considering factors such as air quality, water resources, noise levels, habitat disturbance, etc.
07
Identify and evaluate potential mitigation measures to minimize or eliminate negative environmental impacts.
08
Prepare a comprehensive report summarizing the findings, assessments, and recommendations of the environmental initial study.
09
Review and revise the report as necessary based on feedback from relevant stakeholders or regulatory authorities.
10
Submit the completed environmental initial study to the appropriate regulatory authority for review and approval.
Who needs environmental initial study?
01
Environmental initial studies are typically required by government regulatory authorities for various types of projects or activities that may have potential environmental impacts.
02
Common examples of entities that may need to conduct an environmental initial study include developers, construction companies, industrial facilities, and infrastructure projects.
03
Additionally, organizations or individuals seeking permits, licenses, or approvals for activities related to land use, resource extraction, waste management, or pollution control may also be required to complete an environmental initial study.
Fill
form
: Try Risk Free
For pdfFiller’s FAQs
Below is a list of the most common customer questions. If you can’t find an answer to your question, please don’t hesitate to reach out to us.
Can I create an electronic signature for signing my environmental initial study in Gmail?
Create your eSignature using pdfFiller and then eSign your environmental initial study immediately from your email with pdfFiller's Gmail add-on. To keep your signatures and signed papers, you must create an account.
How do I complete environmental initial study on an iOS device?
pdfFiller has an iOS app that lets you fill out documents on your phone. A subscription to the service means you can make an account or log in to one you already have. As soon as the registration process is done, upload your environmental initial study. You can now use pdfFiller's more advanced features, like adding fillable fields and eSigning documents, as well as accessing them from any device, no matter where you are in the world.
How do I edit environmental initial study on an Android device?
The pdfFiller app for Android allows you to edit PDF files like environmental initial study. Mobile document editing, signing, and sending. Install the app to ease document management anywhere.
What is environmental initial study?
Environmental initial study is a preliminary evaluation carried out to assess potential environmental impacts of a proposed project.
Who is required to file environmental initial study?
The project proponent or developer is required to file the environmental initial study.
How to fill out environmental initial study?
The environmental initial study is typically filled out by providing information on the project description, location, potential impacts, and proposed mitigation measures.
What is the purpose of environmental initial study?
The purpose of the environmental initial study is to identify and evaluate potential environmental impacts of a project before it is approved or implemented.
What information must be reported on environmental initial study?
The environmental initial study must include information on the project description, location, potential impacts on resources like air quality, water quality, plants, animals, and proposed mitigation measures.
Fill out your environmental initial study online with pdfFiller!
pdfFiller is an end-to-end solution for managing, creating, and editing documents and forms in the cloud. Save time and hassle by preparing your tax forms online.
Environmental Initial Study is not the form you're looking for?Search for another form here.
Relevant keywords
Related Forms
If you believe that this page should be taken down, please follow our DMCA take down process
here
.
This form may include fields for payment information. Data entered in these fields is not covered by PCI DSS compliance.