
Get the free How to ApplyThe National Dental Examining Board of Canada
Show details
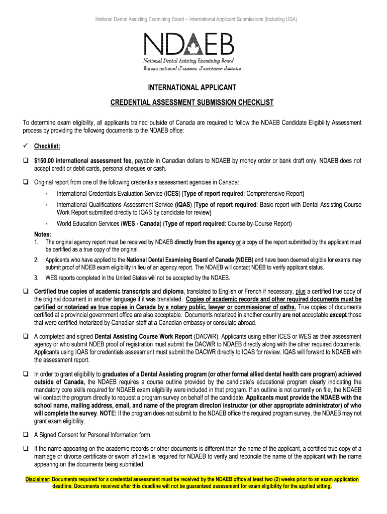
National Dental Assisting Examining Board International Applicant Submissions (Including the USA)INTERNATIONAL APPLICANT CREDENTIAL ASSESSMENT SUBMISSION CHECKLIST To determine exam eligibility, all
We are not affiliated with any brand or entity on this form
Get, Create, Make and Sign how to applyform national

Edit your how to applyform national form online
Type text, complete fillable fields, insert images, highlight or blackout data for discretion, add comments, and more.

Add your legally-binding signature
Draw or type your signature, upload a signature image, or capture it with your digital camera.

Share your form instantly
Email, fax, or share your how to applyform national form via URL. You can also download, print, or export forms to your preferred cloud storage service.
Editing how to applyform national online
To use our professional PDF editor, follow these steps:
1
Log in to your account. Click Start Free Trial and sign up a profile if you don't have one yet.
2
Prepare a file. Use the Add New button to start a new project. Then, using your device, upload your file to the system by importing it from internal mail, the cloud, or adding its URL.
3
Edit how to applyform national. Rearrange and rotate pages, insert new and alter existing texts, add new objects, and take advantage of other helpful tools. Click Done to apply changes and return to your Dashboard. Go to the Documents tab to access merging, splitting, locking, or unlocking functions.
4
Get your file. Select the name of your file in the docs list and choose your preferred exporting method. You can download it as a PDF, save it in another format, send it by email, or transfer it to the cloud.
pdfFiller makes dealing with documents a breeze. Create an account to find out!
Uncompromising security for your PDF editing and eSignature needs
Your private information is safe with pdfFiller. We employ end-to-end encryption, secure cloud storage, and advanced access control to protect your documents and maintain regulatory compliance.
How to fill out how to applyform national

How to fill out how to applyform national
01
To fill out the how to apply form for national, follow the steps below:
02
Start by visiting the official website of the National Application Form.
03
Download the application form and save it on your computer.
04
Open the saved form using a PDF reader or editor.
05
Read the instructions carefully to understand the eligibility criteria and requirements.
06
Fill in the personal details section, including your full name, date of birth, and contact information.
07
Provide the necessary documents as mentioned in the form, such as identification proof, address proof, and any relevant certificates.
08
Review the form to ensure all the required fields are completed and all information is accurate.
09
Sign the form electronically or manually, depending on the instructions provided.
10
Save a copy of the filled form for your records.
11
Submit the completed form either by email or through the designated submission method mentioned in the form.
Who needs how to applyform national?
01
Anyone who is interested in applying for national can use the how to apply form. It is specifically designed for individuals who meet the eligibility criteria and wish to complete the application process.
Fill
form
: Try Risk Free
For pdfFiller’s FAQs
Below is a list of the most common customer questions. If you can’t find an answer to your question, please don’t hesitate to reach out to us.
How do I execute how to applyform national online?
Easy online how to applyform national completion using pdfFiller. Also, it allows you to legally eSign your form and change original PDF material. Create a free account and manage documents online.
How do I make changes in how to applyform national?
The editing procedure is simple with pdfFiller. Open your how to applyform national in the editor, which is quite user-friendly. You may use it to blackout, redact, write, and erase text, add photos, draw arrows and lines, set sticky notes and text boxes, and much more.
How can I fill out how to applyform national on an iOS device?
Install the pdfFiller app on your iOS device to fill out papers. Create an account or log in if you already have one. After registering, upload your how to applyform national. You may now use pdfFiller's advanced features like adding fillable fields and eSigning documents from any device, anywhere.
What is how to applyform national?
The 'how to applyform national' refers to the procedures and guidelines for submitting a national application form for a specific purpose, such as tax, immigration, or government services.
Who is required to file how to applyform national?
Individuals, organizations, or entities that meet certain criteria outlined by the relevant national authority are required to file the how to applyform national.
How to fill out how to applyform national?
To fill out the how to applyform national, follow the instructions provided with the form, ensuring all required fields are completed accurately, and any necessary documentation is attached.
What is the purpose of how to applyform national?
The purpose of how to applyform national is to collect necessary information for processing applications related to various national programs or services.
What information must be reported on how to applyform national?
The information that must be reported typically includes personal identification details, financial information, and any relevant supporting data as specified in the application guidelines.
Fill out your how to applyform national online with pdfFiller!
pdfFiller is an end-to-end solution for managing, creating, and editing documents and forms in the cloud. Save time and hassle by preparing your tax forms online.

How To Applyform National is not the form you're looking for?Search for another form here.
Relevant keywords
Related Forms
If you believe that this page should be taken down, please follow our DMCA take down process
here
.
This form may include fields for payment information. Data entered in these fields is not covered by PCI DSS compliance.