
Get the free advanced opportunity program - UW-Whitewater
Show details
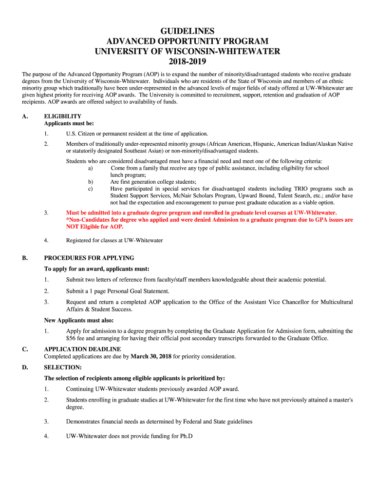
GUIDELINES
ADVANCED OPPORTUNITY PROGRAM
UNIVERSITY OF WISCONSINWHITEWATER
20182019
The purpose of the Advanced Opportunity Program (AOP) is to expand the number of minority/disadvantaged students
We are not affiliated with any brand or entity on this form
Get, Create, Make and Sign advanced opportunity program

Edit your advanced opportunity program form online
Type text, complete fillable fields, insert images, highlight or blackout data for discretion, add comments, and more.

Add your legally-binding signature
Draw or type your signature, upload a signature image, or capture it with your digital camera.

Share your form instantly
Email, fax, or share your advanced opportunity program form via URL. You can also download, print, or export forms to your preferred cloud storage service.
How to edit advanced opportunity program online
Use the instructions below to start using our professional PDF editor:
1
Create an account. Begin by choosing Start Free Trial and, if you are a new user, establish a profile.
2
Upload a document. Select Add New on your Dashboard and transfer a file into the system in one of the following ways: by uploading it from your device or importing from the cloud, web, or internal mail. Then, click Start editing.
3
Edit advanced opportunity program. Rearrange and rotate pages, add and edit text, and use additional tools. To save changes and return to your Dashboard, click Done. The Documents tab allows you to merge, divide, lock, or unlock files.
4
Get your file. When you find your file in the docs list, click on its name and choose how you want to save it. To get the PDF, you can save it, send an email with it, or move it to the cloud.
pdfFiller makes working with documents easier than you could ever imagine. Register for an account and see for yourself!
Uncompromising security for your PDF editing and eSignature needs
Your private information is safe with pdfFiller. We employ end-to-end encryption, secure cloud storage, and advanced access control to protect your documents and maintain regulatory compliance.
How to fill out advanced opportunity program

How to fill out advanced opportunity program
01
Start by researching the requirements and eligibility criteria for the advanced opportunity program.
02
Gather all the necessary documentation and information that may be needed to fill out the application.
03
Begin the application process by visiting the designated website or contacting the relevant program administrators.
04
Read and understand the instructions provided for each section of the application form.
05
Carefully fill out the required personal information, educational background, and any other relevant details.
06
Double-check the accuracy of the provided information before submitting the application.
07
If any supporting documents are required, ensure they are properly attached and meet the specified requirements.
08
Review the entire application form for completeness and correctness.
09
Submit the application within the specified deadline.
10
Follow up with the program administrators if needed and be prepared for any potential interviews or additional steps in the selection process.
Who needs advanced opportunity program?
01
Students who wish to pursue advanced education or training beyond the regular academic programs may need the advanced opportunity program.
02
Individuals who have specific career goals or aspirations that require specialized training or education.
03
Underrepresented groups or individuals from disadvantaged backgrounds who may benefit from additional support or resources.
04
Students who have demonstrated exceptional academic or extracurricular achievements and are seeking opportunities for further advancement.
05
Anyone who meets the eligibility criteria and is interested in accessing additional educational opportunities provided through the advanced opportunity program.
Fill
form
: Try Risk Free
For pdfFiller’s FAQs
Below is a list of the most common customer questions. If you can’t find an answer to your question, please don’t hesitate to reach out to us.
How can I manage my advanced opportunity program directly from Gmail?
The pdfFiller Gmail add-on lets you create, modify, fill out, and sign advanced opportunity program and other documents directly in your email. Click here to get pdfFiller for Gmail. Eliminate tedious procedures and handle papers and eSignatures easily.
How do I complete advanced opportunity program online?
Easy online advanced opportunity program completion using pdfFiller. Also, it allows you to legally eSign your form and change original PDF material. Create a free account and manage documents online.
How do I make edits in advanced opportunity program without leaving Chrome?
Get and add pdfFiller Google Chrome Extension to your browser to edit, fill out and eSign your advanced opportunity program, which you can open in the editor directly from a Google search page in just one click. Execute your fillable documents from any internet-connected device without leaving Chrome.
What is advanced opportunity program?
The Advanced Opportunity Program is a financial aid initiative designed to assist students from underrepresented backgrounds in pursuing higher education through scholarships and funding.
Who is required to file advanced opportunity program?
Students who are seeking financial support for their education and meet specific eligibility criteria set by the program must file the Advanced Opportunity Program.
How to fill out advanced opportunity program?
To fill out the Advanced Opportunity Program, applicants must complete the required application forms, provide necessary documentation, and submit their application by the specified deadline.
What is the purpose of advanced opportunity program?
The purpose of the Advanced Opportunity Program is to increase access to education for underrepresented students and to promote diversity in higher education.
What information must be reported on advanced opportunity program?
Applicants must report personal information, financial details, academic history, and any additional information required by the program to assess eligibility for funding.
Fill out your advanced opportunity program online with pdfFiller!
pdfFiller is an end-to-end solution for managing, creating, and editing documents and forms in the cloud. Save time and hassle by preparing your tax forms online.

Advanced Opportunity Program is not the form you're looking for?Search for another form here.
Relevant keywords
Related Forms
If you believe that this page should be taken down, please follow our DMCA take down process
here
.
This form may include fields for payment information. Data entered in these fields is not covered by PCI DSS compliance.