
Get the free Candler Advantage Advanced Summer Internship in Congregational Leadership
Show details
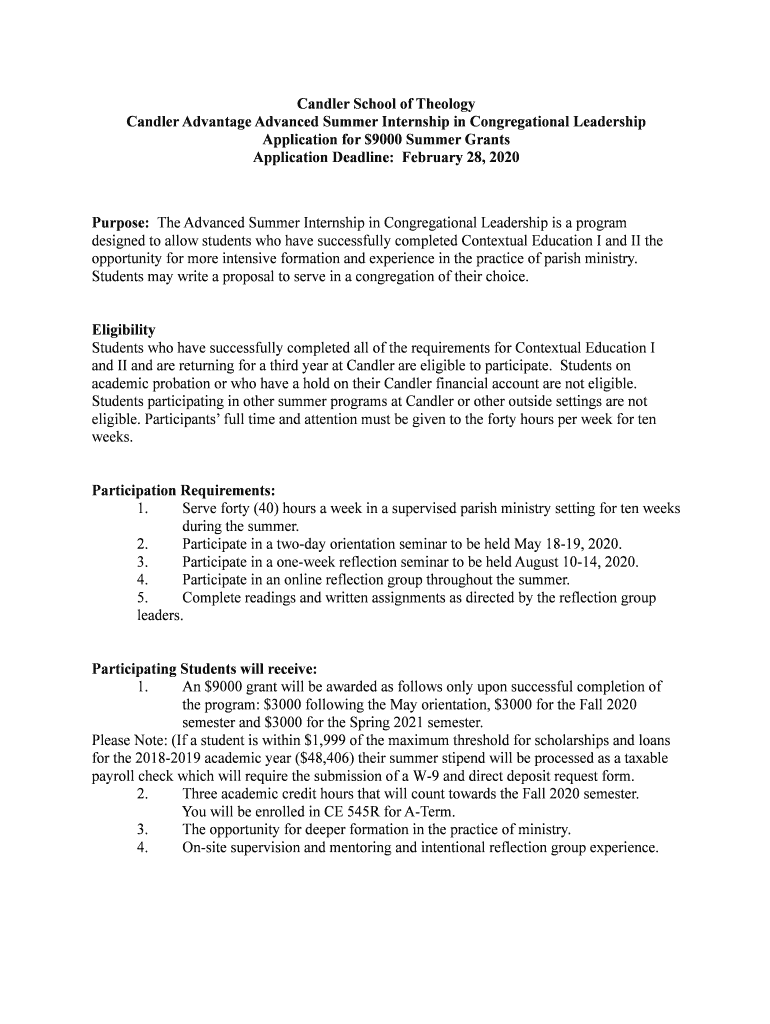
Candler School of Theology
Candler Advantage Advanced Summer Internship in Congregational Leadership
Application for $9000 Summer Grants
Application Deadline: February 28, 2020Purpose: The Advanced
We are not affiliated with any brand or entity on this form
Get, Create, Make and Sign candler advantage advanced summer

Edit your candler advantage advanced summer form online
Type text, complete fillable fields, insert images, highlight or blackout data for discretion, add comments, and more.

Add your legally-binding signature
Draw or type your signature, upload a signature image, or capture it with your digital camera.

Share your form instantly
Email, fax, or share your candler advantage advanced summer form via URL. You can also download, print, or export forms to your preferred cloud storage service.
Editing candler advantage advanced summer online
Here are the steps you need to follow to get started with our professional PDF editor:
1
Set up an account. If you are a new user, click Start Free Trial and establish a profile.
2
Upload a document. Select Add New on your Dashboard and transfer a file into the system in one of the following ways: by uploading it from your device or importing from the cloud, web, or internal mail. Then, click Start editing.
3
Edit candler advantage advanced summer. Rearrange and rotate pages, add and edit text, and use additional tools. To save changes and return to your Dashboard, click Done. The Documents tab allows you to merge, divide, lock, or unlock files.
4
Get your file. Select the name of your file in the docs list and choose your preferred exporting method. You can download it as a PDF, save it in another format, send it by email, or transfer it to the cloud.
pdfFiller makes working with documents easier than you could ever imagine. Try it for yourself by creating an account!
Uncompromising security for your PDF editing and eSignature needs
Your private information is safe with pdfFiller. We employ end-to-end encryption, secure cloud storage, and advanced access control to protect your documents and maintain regulatory compliance.
How to fill out candler advantage advanced summer

How to fill out candler advantage advanced summer
01
Start by opening the Candler Advantage Advanced Summer application.
02
Fill in your personal information, including your name, contact details, and student ID number.
03
Provide information about your academic background, such as the degree you are pursuing and your current GPA.
04
Answer any additional questions or prompts related to your summer plans, including your intended courses or research projects.
05
Review all the information you have provided to ensure accuracy and completeness.
06
Submit your application and wait for a confirmation email or notification from the Candler Advantage Advanced Summer program.
Who needs candler advantage advanced summer?
01
Candler Advantage Advanced Summer is designed for individuals who are currently pursuing an academic degree and are interested in gaining advanced knowledge or experience in their field during the summer.
02
This program is particularly beneficial for students who want to enhance their resume or academic profile, explore new research opportunities, or deepen their understanding of specific subjects or disciplines.
03
Additionally, individuals who are seeking to engage in a structured and intensive summer educational experience may also find Candler Advantage Advanced Summer to be suitable for their needs.
Fill
form
: Try Risk Free
For pdfFiller’s FAQs
Below is a list of the most common customer questions. If you can’t find an answer to your question, please don’t hesitate to reach out to us.
How can I edit candler advantage advanced summer on a smartphone?
The best way to make changes to documents on a mobile device is to use pdfFiller's apps for iOS and Android. You may get them from the Apple Store and Google Play. Learn more about the apps here. To start editing candler advantage advanced summer, you need to install and log in to the app.
How do I edit candler advantage advanced summer on an iOS device?
Create, edit, and share candler advantage advanced summer from your iOS smartphone with the pdfFiller mobile app. Installing it from the Apple Store takes only a few seconds. You may take advantage of a free trial and select a subscription that meets your needs.
Can I edit candler advantage advanced summer on an Android device?
With the pdfFiller mobile app for Android, you may make modifications to PDF files such as candler advantage advanced summer. Documents may be edited, signed, and sent directly from your mobile device. Install the app and you'll be able to manage your documents from anywhere.
What is candler advantage advanced summer?
Candler Advantage Advanced Summer is an advanced program designed to benefit students during the summer session, providing enhanced learning opportunities and resources.
Who is required to file candler advantage advanced summer?
Students who are participating in the Candler Advantage Advanced Summer program are required to file the necessary documentation.
How to fill out candler advantage advanced summer?
To fill out the Candler Advantage Advanced Summer form, follow the instructions provided in the program guide, ensuring that all required fields are completed accurately.
What is the purpose of candler advantage advanced summer?
The purpose of Candler Advantage Advanced Summer is to enhance the educational experience of students through targeted programs and resources during the summer months.
What information must be reported on candler advantage advanced summer?
The information that must be reported includes personal details, academic history, and specific program-related data as outlined in the application.
Fill out your candler advantage advanced summer online with pdfFiller!
pdfFiller is an end-to-end solution for managing, creating, and editing documents and forms in the cloud. Save time and hassle by preparing your tax forms online.

Candler Advantage Advanced Summer is not the form you're looking for?Search for another form here.
Relevant keywords
Related Forms
If you believe that this page should be taken down, please follow our DMCA take down process
here
.
This form may include fields for payment information. Data entered in these fields is not covered by PCI DSS compliance.