
Get the free Please submit plat for decks, fences, patios, play houses, sheds, landscaping, etc
Show details
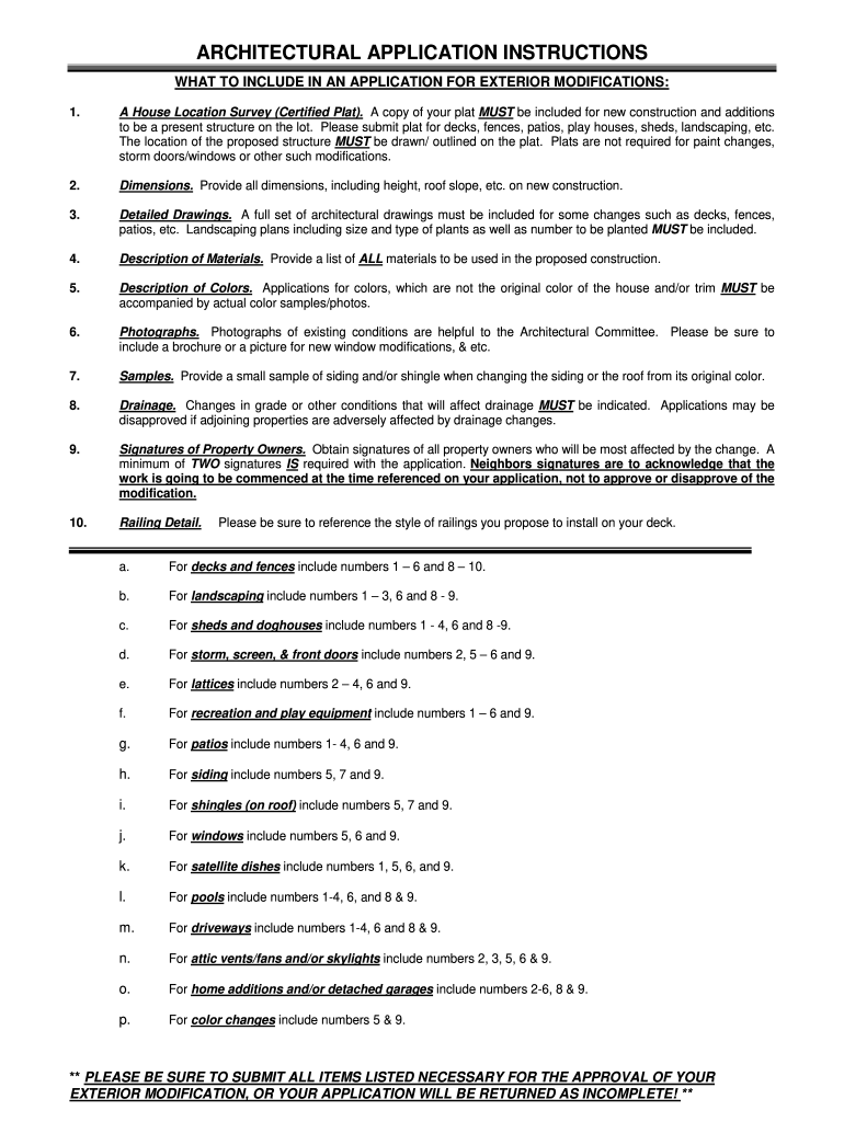
ARCHITECTURAL APPLICATION INSTRUCTIONS
WHAT TO INCLUDE IN AN APPLICATION FOR EXTERIOR MODIFICATIONS:
1. A House Location Survey (Certified Plat). A copy of your plat MUST be included for new construction
We are not affiliated with any brand or entity on this form
Get, Create, Make and Sign please submit plat for

Edit your please submit plat for form online
Type text, complete fillable fields, insert images, highlight or blackout data for discretion, add comments, and more.

Add your legally-binding signature
Draw or type your signature, upload a signature image, or capture it with your digital camera.

Share your form instantly
Email, fax, or share your please submit plat for form via URL. You can also download, print, or export forms to your preferred cloud storage service.
Editing please submit plat for online
Follow the guidelines below to take advantage of the professional PDF editor:
1
Log into your account. In case you're new, it's time to start your free trial.
2
Prepare a file. Use the Add New button. Then upload your file to the system from your device, importing it from internal mail, the cloud, or by adding its URL.
3
Edit please submit plat for. Rearrange and rotate pages, add new and changed texts, add new objects, and use other useful tools. When you're done, click Done. You can use the Documents tab to merge, split, lock, or unlock your files.
4
Save your file. Select it from your list of records. Then, move your cursor to the right toolbar and choose one of the exporting options. You can save it in multiple formats, download it as a PDF, send it by email, or store it in the cloud, among other things.
It's easier to work with documents with pdfFiller than you can have believed. You may try it out for yourself by signing up for an account.
Uncompromising security for your PDF editing and eSignature needs
Your private information is safe with pdfFiller. We employ end-to-end encryption, secure cloud storage, and advanced access control to protect your documents and maintain regulatory compliance.
How to fill out please submit plat for

How to fill out please submit plat for
01
Start by gathering all the required information for the plat submission, such as property details, dimensions, and any relevant documents.
02
Carefully review the plat submission guidelines provided by the relevant authority or organization to ensure you meet all the requirements and specifications.
03
Fill out the plat submission form accurately and provide all the requested information. Double-check for any errors or missing details before submitting.
04
Attach any supporting documents or plans that may be required along with the plat submission.
05
Once you have reviewed the completed form and attached the necessary documents, submit the plat submission either online or in person as per the given instructions.
06
Pay any required fees associated with the plat submission process.
07
Keep a copy of the submitted plat and any acknowledgment receipts or confirmation for future reference.
08
Wait for the processing of the plat submission and follow up with the relevant authority if necessary.
09
Ensure compliance with any requests for additional information or modifications to the plat submission, if applicable.
10
Once the plat submission is approved, you may receive a formal notification or approval letter. Keep this documentation for future reference.
Who needs please submit plat for?
01
Individuals or businesses who are planning to develop or make changes to a property may need to submit a plat.
02
Real estate developers, architects, engineers, surveyors, and property owners are commonly involved in the plat submission process.
03
Local governments, zoning boards, or land use committees may require plat submissions to ensure adherence to regulations and to maintain accurate property records.
04
Plat submissions are often necessary for activities such as subdivision of land, construction of new buildings or infrastructure, or property boundary adjustments.
Fill
form
: Try Risk Free
For pdfFiller’s FAQs
Below is a list of the most common customer questions. If you can’t find an answer to your question, please don’t hesitate to reach out to us.
How can I edit please submit plat for from Google Drive?
People who need to keep track of documents and fill out forms quickly can connect PDF Filler to their Google Docs account. This means that they can make, edit, and sign documents right from their Google Drive. Make your please submit plat for into a fillable form that you can manage and sign from any internet-connected device with this add-on.
Can I edit please submit plat for on an iOS device?
You can. Using the pdfFiller iOS app, you can edit, distribute, and sign please submit plat for. Install it in seconds at the Apple Store. The app is free, but you must register to buy a subscription or start a free trial.
How do I complete please submit plat for on an Android device?
Use the pdfFiller mobile app and complete your please submit plat for and other documents on your Android device. The app provides you with all essential document management features, such as editing content, eSigning, annotating, sharing files, etc. You will have access to your documents at any time, as long as there is an internet connection.
What is please submit plat for?
Please submit plat is a request to submit a detailed map or plan of a specific area, typically required for land development and zoning purposes.
Who is required to file please submit plat for?
Developers, landowners, and individuals seeking to subdivide land or apply for permits related to land use are generally required to file a please submit plat.
How to fill out please submit plat for?
To fill out please submit plat, you need to provide accurate dimensions, boundaries, and details of the land, along with any required supporting documents and fees.
What is the purpose of please submit plat for?
The purpose of please submit plat is to ensure that land development complies with local regulations, zoning laws, and community planning requirements.
What information must be reported on please submit plat for?
Information typically reported includes the legal description of the property, existing features, proposed development details, and any easements or rights-of-way.
Fill out your please submit plat for online with pdfFiller!
pdfFiller is an end-to-end solution for managing, creating, and editing documents and forms in the cloud. Save time and hassle by preparing your tax forms online.

Please Submit Plat For is not the form you're looking for?Search for another form here.
Relevant keywords
Related Forms
If you believe that this page should be taken down, please follow our DMCA take down process
here
.
This form may include fields for payment information. Data entered in these fields is not covered by PCI DSS compliance.