
Get the free Labor Condition Application for Nonimmigrant Workers ETA - PDFfiller
Show details
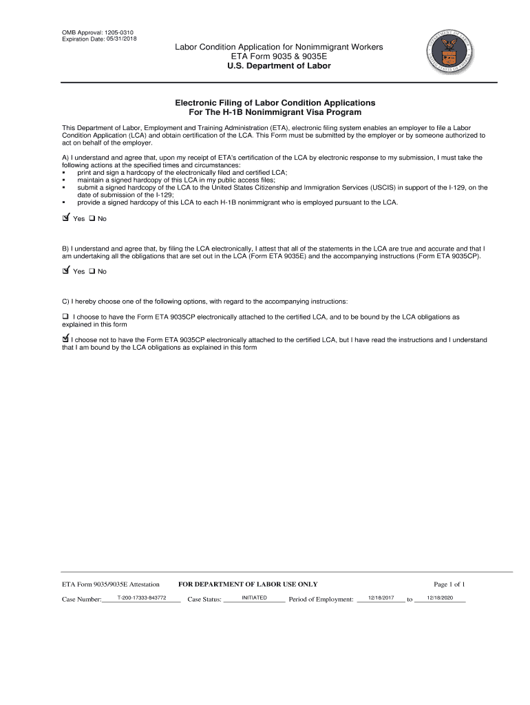
OMB Approval: 12050310 Expiration Date: 05/31/2018Labor Condition Application for Nonimmigrant Workers ETA Form 9035 & 9035E U.S. Department of LaborElectronic Filing of Labor Condition Applications
We are not affiliated with any brand or entity on this form
Get, Create, Make and Sign labor condition application for

Edit your labor condition application for form online
Type text, complete fillable fields, insert images, highlight or blackout data for discretion, add comments, and more.

Add your legally-binding signature
Draw or type your signature, upload a signature image, or capture it with your digital camera.

Share your form instantly
Email, fax, or share your labor condition application for form via URL. You can also download, print, or export forms to your preferred cloud storage service.
How to edit labor condition application for online
To use our professional PDF editor, follow these steps:
1
Log in to your account. Click on Start Free Trial and register a profile if you don't have one yet.
2
Prepare a file. Use the Add New button to start a new project. Then, using your device, upload your file to the system by importing it from internal mail, the cloud, or adding its URL.
3
Edit labor condition application for. Text may be added and replaced, new objects can be included, pages can be rearranged, watermarks and page numbers can be added, and so on. When you're done editing, click Done and then go to the Documents tab to combine, divide, lock, or unlock the file.
4
Save your file. Choose it from the list of records. Then, shift the pointer to the right toolbar and select one of the several exporting methods: save it in multiple formats, download it as a PDF, email it, or save it to the cloud.
pdfFiller makes working with documents easier than you could ever imagine. Register for an account and see for yourself!
Uncompromising security for your PDF editing and eSignature needs
Your private information is safe with pdfFiller. We employ end-to-end encryption, secure cloud storage, and advanced access control to protect your documents and maintain regulatory compliance.
How to fill out labor condition application for

How to fill out labor condition application for
01
To fill out a labor condition application for H-1B nonimmigrant workers, follow these steps:
02
Obtain the Form ETA-9035, Labor Condition Application for Nonimmigrant Workers.
03
Fill out the employer information section, including the company name, address, and FEIN (Federal Employer Identification Number).
04
Provide job information, including the job title, salary, and duties.
05
Indicate the prevailing wage for the position and the wage rate offered to the H-1B worker.
06
Include the work location(s) where the H-1B worker will be employed.
07
Sign and date the application.
08
Retain a copy of the completed labor condition application for your records.
Who needs labor condition application for?
01
The labor condition application is required for employers who want to hire H-1B nonimmigrant workers. It is a prerequisite for obtaining an H-1B visa and is used to ensure that the employment of H-1B workers will not adversely affect the working conditions or wages of similarly employed U.S. workers.
Fill
form
: Try Risk Free
For pdfFiller’s FAQs
Below is a list of the most common customer questions. If you can’t find an answer to your question, please don’t hesitate to reach out to us.
How can I manage my labor condition application for directly from Gmail?
Using pdfFiller's Gmail add-on, you can edit, fill out, and sign your labor condition application for and other papers directly in your email. You may get it through Google Workspace Marketplace. Make better use of your time by handling your papers and eSignatures.
How can I send labor condition application for to be eSigned by others?
To distribute your labor condition application for, simply send it to others and receive the eSigned document back instantly. Post or email a PDF that you've notarized online. Doing so requires never leaving your account.
How do I edit labor condition application for straight from my smartphone?
The pdfFiller mobile applications for iOS and Android are the easiest way to edit documents on the go. You may get them from the Apple Store and Google Play. More info about the applications here. Install and log in to edit labor condition application for.
What is labor condition application for?
The labor condition application (LCA) is a prerequisite form that employers must submit to the U.S. Department of Labor when hiring foreign workers on H-1B, H-1B1, or E-3 visas. It is used to attest that the employer will adhere to specific labor standards.
Who is required to file labor condition application for?
Employers seeking to hire foreign workers under H-1B, H-1B1, or E-3 visa categories are required to file a labor condition application.
How to fill out labor condition application for?
To fill out a labor condition application, employers must complete the form with details about the job, including wage rates, working conditions, and employment location. Employers must also provide information about their company and assure they will comply with labor regulations.
What is the purpose of labor condition application for?
The purpose of the labor condition application is to ensure that hiring foreign workers does not adversely affect the wages and working conditions of U.S. workers, and to confirm that employers are paying at least the prevailing wage for the job.
What information must be reported on labor condition application for?
The labor condition application must report information such as the job title, occupational classification, wage rate, working conditions, intended number of employees, work location, and the employer's contact information.
Fill out your labor condition application for online with pdfFiller!
pdfFiller is an end-to-end solution for managing, creating, and editing documents and forms in the cloud. Save time and hassle by preparing your tax forms online.

Labor Condition Application For is not the form you're looking for?Search for another form here.
Relevant keywords
Related Forms
If you believe that this page should be taken down, please follow our DMCA take down process
here
.
This form may include fields for payment information. Data entered in these fields is not covered by PCI DSS compliance.