Get the free Complaint Process and Form - Cascade School District
Show details
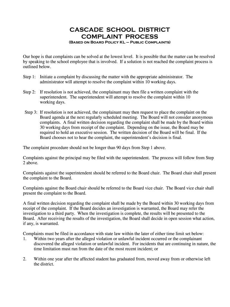
CASCADE SCHOOL DISTRICT COMPLAINT PROCESS (Based on Board Policy KL Public Complaints)Our hope is that complaints can be solved at the lowest level. It is possible that the matter can be resolved
We are not affiliated with any brand or entity on this form
Get, Create, Make and Sign complaint process and form
Edit your complaint process and form form online
Type text, complete fillable fields, insert images, highlight or blackout data for discretion, add comments, and more.
Add your legally-binding signature
Draw or type your signature, upload a signature image, or capture it with your digital camera.
Share your form instantly
Email, fax, or share your complaint process and form form via URL. You can also download, print, or export forms to your preferred cloud storage service.
How to edit complaint process and form online
Use the instructions below to start using our professional PDF editor:
1
Log in. Click Start Free Trial and create a profile if necessary.
2
Upload a document. Select Add New on your Dashboard and transfer a file into the system in one of the following ways: by uploading it from your device or importing from the cloud, web, or internal mail. Then, click Start editing.
3
Edit complaint process and form. Replace text, adding objects, rearranging pages, and more. Then select the Documents tab to combine, divide, lock or unlock the file.
4
Get your file. Select your file from the documents list and pick your export method. You may save it as a PDF, email it, or upload it to the cloud.
pdfFiller makes dealing with documents a breeze. Create an account to find out!
Uncompromising security for your PDF editing and eSignature needs
Your private information is safe with pdfFiller. We employ end-to-end encryption, secure cloud storage, and advanced access control to protect your documents and maintain regulatory compliance.
How to fill out complaint process and form
How to fill out complaint process and form
01
Start by gathering all the necessary information about the complaint, such as date, time, location, and parties involved.
02
Read through the complaint form carefully and understand the required information and any supporting documents needed.
03
Fill out the personal details section, including your name, address, contact information, and any other required identification details.
04
Clearly state the nature of the complaint and provide a detailed account of the incident or issue. Use specific dates, times, and locations whenever possible.
05
If there were any witnesses to the incident, provide their contact information and a brief summary of their testimonies.
06
Attach any relevant supporting documents, such as photographs, videos, emails, or any other evidence that can validate your complaint.
07
Review the completed form thoroughly to ensure all the necessary information is included and that it is clear and concise.
08
Submit the complaint form to the appropriate department or organization as instructed. Keep a copy of the form and any supporting documents for your records.
09
Follow up with the complaint process to check the status of your complaint and provide any additional information if required.
10
Be patient and cooperative throughout the process, as it may take some time to investigate and resolve the complaint.
Who needs complaint process and form?
01
Anyone who has experienced an issue or incident that they believe requires formal documentation and investigation can benefit from using a complaint process and form.
02
This can include individuals who have had a negative experience with a product or service, faced discrimination, witnessed misconduct or unethical behavior, or encountered any other situation that warrants a formal complaint.
03
Businesses, organizations, or institutions may also require a complaint process and form to handle customer feedback, employee grievances, or internal conflicts in a fair and systematic manner.
Fill
form
: Try Risk Free
For pdfFiller’s FAQs
Below is a list of the most common customer questions. If you can’t find an answer to your question, please don’t hesitate to reach out to us.
How can I send complaint process and form for eSignature?
Once you are ready to share your complaint process and form, you can easily send it to others and get the eSigned document back just as quickly. Share your PDF by email, fax, text message, or USPS mail, or notarize it online. You can do all of this without ever leaving your account.
How do I execute complaint process and form online?
pdfFiller has made filling out and eSigning complaint process and form easy. The solution is equipped with a set of features that enable you to edit and rearrange PDF content, add fillable fields, and eSign the document. Start a free trial to explore all the capabilities of pdfFiller, the ultimate document editing solution.
Can I create an eSignature for the complaint process and form in Gmail?
Upload, type, or draw a signature in Gmail with the help of pdfFiller’s add-on. pdfFiller enables you to eSign your complaint process and form and other documents right in your inbox. Register your account in order to save signed documents and your personal signatures.
What is complaint process and form?
The complaint process and form is a structured method for individuals to formally report grievances or issues related to a specific circumstance, organization, or policy. It typically involves completing a designated form that outlines the nature of the complaint.
Who is required to file complaint process and form?
Any individual or entity who experiences a grievance or believes that there has been a violation of rights or regulations may be required to file a complaint process and form. This can include employees, customers, or the general public.
How to fill out complaint process and form?
To fill out the complaint process and form, individuals should carefully read the instructions provided, provide accurate personal information, describe the nature of the complaint clearly, include any relevant documents, and submit the form as directed.
What is the purpose of complaint process and form?
The purpose of the complaint process and form is to provide a formal avenue for individuals to express their grievances, facilitate resolution, ensure accountability, and improve practices by informing relevant authorities of issues that require attention.
What information must be reported on complaint process and form?
The information that must typically be reported includes the complainant's contact details, a detailed description of the complaint, any relevant dates, names of individuals involved, and supporting documentation, if available.
Fill out your complaint process and form online with pdfFiller!
pdfFiller is an end-to-end solution for managing, creating, and editing documents and forms in the cloud. Save time and hassle by preparing your tax forms online.
Complaint Process And Form is not the form you're looking for?Search for another form here.
Relevant keywords
Related Forms
If you believe that this page should be taken down, please follow our DMCA take down process
here
.
This form may include fields for payment information. Data entered in these fields is not covered by PCI DSS compliance.