
Get the free Screening Activities Used to Determine Eligibility for ...
Show details
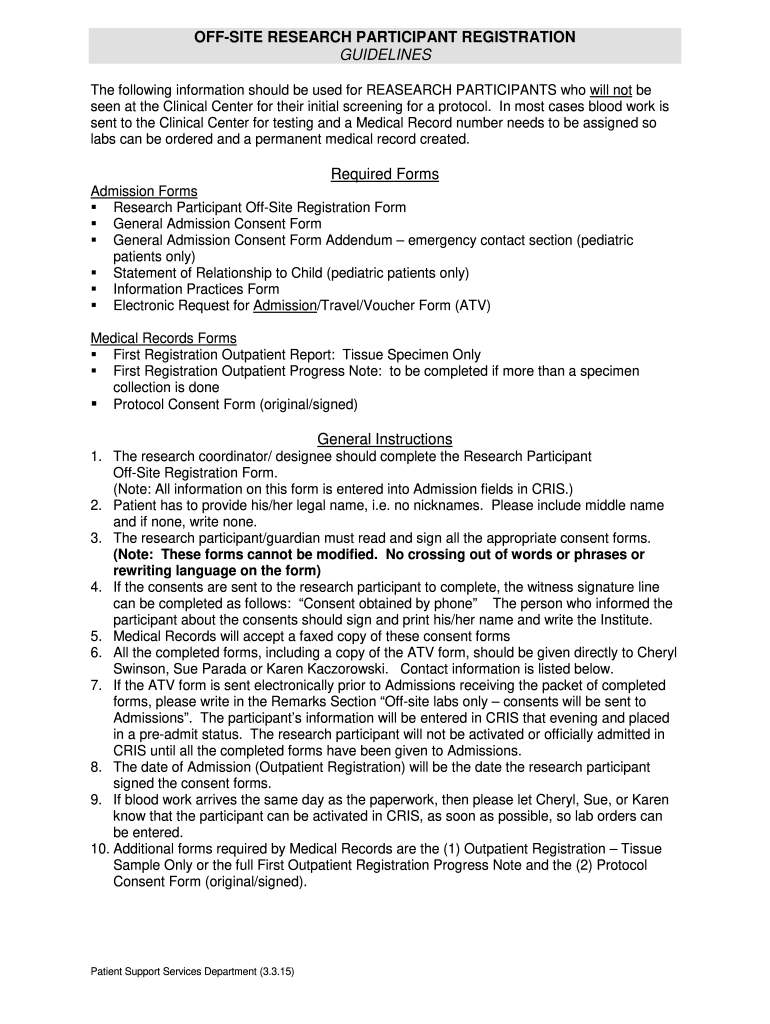
OFFSITE RESEARCH PARTICIPANT REGISTRATION GUIDELINES The following information should be used for RESEARCH PARTICIPANTS who will not be seen at the Clinical Center for their initial screening for
We are not affiliated with any brand or entity on this form
Get, Create, Make and Sign screening activities used to

Edit your screening activities used to form online
Type text, complete fillable fields, insert images, highlight or blackout data for discretion, add comments, and more.

Add your legally-binding signature
Draw or type your signature, upload a signature image, or capture it with your digital camera.

Share your form instantly
Email, fax, or share your screening activities used to form via URL. You can also download, print, or export forms to your preferred cloud storage service.
Editing screening activities used to online
Here are the steps you need to follow to get started with our professional PDF editor:
1
Set up an account. If you are a new user, click Start Free Trial and establish a profile.
2
Prepare a file. Use the Add New button. Then upload your file to the system from your device, importing it from internal mail, the cloud, or by adding its URL.
3
Edit screening activities used to. Text may be added and replaced, new objects can be included, pages can be rearranged, watermarks and page numbers can be added, and so on. When you're done editing, click Done and then go to the Documents tab to combine, divide, lock, or unlock the file.
4
Get your file. When you find your file in the docs list, click on its name and choose how you want to save it. To get the PDF, you can save it, send an email with it, or move it to the cloud.
The use of pdfFiller makes dealing with documents straightforward.
Uncompromising security for your PDF editing and eSignature needs
Your private information is safe with pdfFiller. We employ end-to-end encryption, secure cloud storage, and advanced access control to protect your documents and maintain regulatory compliance.
How to fill out screening activities used to

How to fill out screening activities used to
01
Start by evaluating the purpose and goals of the screening activities.
02
Determine the criteria or qualifications for individuals who should undergo screening.
03
Create a screening questionnaire or form that captures relevant information.
04
Clearly define the screening process, including the steps involved and the timeline.
05
Provide clear instructions on how to complete the screening activities and any necessary documentation.
06
Ensure that the screening activities are easily accessible to the target audience.
07
Establish a system for collecting and analyzing the screening data.
08
Regularly review the screening results and make any necessary adjustments to improve effectiveness.
09
Maintain confidentiality and privacy of all screening information.
10
Continuously monitor and evaluate the screening activities to ensure they are meeting the intended purpose and goals.
Who needs screening activities used to?
01
Screening activities used to are needed by various organizations, institutions, and businesses.
02
This may include healthcare facilities, educational institutions, employers, government agencies, and community organizations.
03
Screening activities help in identifying individuals who meet certain criteria or qualifications for specific purposes.
04
For example, healthcare facilities may use screening activities to identify individuals at risk of certain medical conditions.
05
Employers may use screening activities to assess job applicants' qualifications or suitability for specific roles.
06
Government agencies may use screening activities to identify individuals who meet eligibility criteria for certain programs or benefits.
07
Overall, anyone who needs to evaluate and assess individuals based on specific criteria can benefit from using screening activities.
Fill
form
: Try Risk Free
For pdfFiller’s FAQs
Below is a list of the most common customer questions. If you can’t find an answer to your question, please don’t hesitate to reach out to us.
How can I get screening activities used to?
It's simple with pdfFiller, a full online document management tool. Access our huge online form collection (over 25M fillable forms are accessible) and find the screening activities used to in seconds. Open it immediately and begin modifying it with powerful editing options.
How do I make changes in screening activities used to?
With pdfFiller, the editing process is straightforward. Open your screening activities used to in the editor, which is highly intuitive and easy to use. There, you’ll be able to blackout, redact, type, and erase text, add images, draw arrows and lines, place sticky notes and text boxes, and much more.
How do I fill out the screening activities used to form on my smartphone?
The pdfFiller mobile app makes it simple to design and fill out legal paperwork. Complete and sign screening activities used to and other papers using the app. Visit pdfFiller's website to learn more about the PDF editor's features.
What is screening activities used to?
Screening activities are used to evaluate and assess individuals or entities to determine their eligibility, compliance, or risk with specific requirements or regulations.
Who is required to file screening activities used to?
Organizations or individuals that are subject to regulatory requirements or those involved in activities that necessitate a compliance check are required to file screening activities.
How to fill out screening activities used to?
To fill out screening activities, ensure that all required fields are accurately completed, provide necessary documentation, and submit it to the appropriate regulatory body as per their guidelines.
What is the purpose of screening activities used to?
The purpose of screening activities is to identify potential risks, ensure adherence to legal and regulatory standards, and maintain the integrity of the system or environment being assessed.
What information must be reported on screening activities used to?
The information that must be reported typically includes personal or entity identification details, compliance data, risk assessments, and relevant supporting documentation.
Fill out your screening activities used to online with pdfFiller!
pdfFiller is an end-to-end solution for managing, creating, and editing documents and forms in the cloud. Save time and hassle by preparing your tax forms online.

Screening Activities Used To is not the form you're looking for?Search for another form here.
Relevant keywords
Related Forms
If you believe that this page should be taken down, please follow our DMCA take down process
here
.
This form may include fields for payment information. Data entered in these fields is not covered by PCI DSS compliance.