
Get the free ALTERNATE BUS WAIVER REQUEST Parents/Guardians ...
Show details
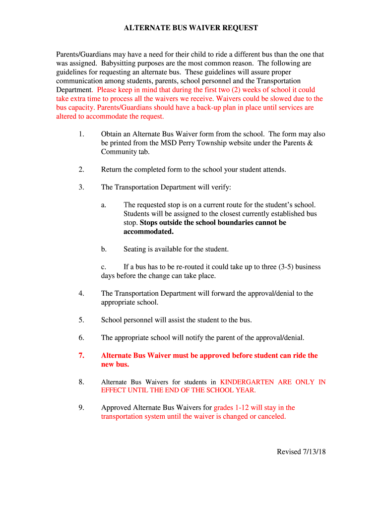
ALTERNATE BUS WAIVER REQUESTParents/Guardians may have a need for their child to ride a different bus than the one that
was assigned. Babysitting purposes are the most common reason. The following
We are not affiliated with any brand or entity on this form
Get, Create, Make and Sign alternate bus waiver request

Edit your alternate bus waiver request form online
Type text, complete fillable fields, insert images, highlight or blackout data for discretion, add comments, and more.

Add your legally-binding signature
Draw or type your signature, upload a signature image, or capture it with your digital camera.

Share your form instantly
Email, fax, or share your alternate bus waiver request form via URL. You can also download, print, or export forms to your preferred cloud storage service.
Editing alternate bus waiver request online
Follow the steps below to benefit from the PDF editor's expertise:
1
Sign into your account. It's time to start your free trial.
2
Prepare a file. Use the Add New button to start a new project. Then, using your device, upload your file to the system by importing it from internal mail, the cloud, or adding its URL.
3
Edit alternate bus waiver request. Rearrange and rotate pages, add and edit text, and use additional tools. To save changes and return to your Dashboard, click Done. The Documents tab allows you to merge, divide, lock, or unlock files.
4
Get your file. Select the name of your file in the docs list and choose your preferred exporting method. You can download it as a PDF, save it in another format, send it by email, or transfer it to the cloud.
It's easier to work with documents with pdfFiller than you can have believed. You can sign up for an account to see for yourself.
Uncompromising security for your PDF editing and eSignature needs
Your private information is safe with pdfFiller. We employ end-to-end encryption, secure cloud storage, and advanced access control to protect your documents and maintain regulatory compliance.
How to fill out alternate bus waiver request

How to fill out alternate bus waiver request
01
Obtain the alternate bus waiver request form from the concerned authority.
02
Read the instructions carefully before filling out the form.
03
Provide your personal information such as name, address, contact details, and any other required details.
04
State the reason for requesting an alternate bus waiver.
05
Explain the special circumstances or specific needs that make the alternate bus necessary.
06
Attach any supporting documents or evidence, if required.
07
Sign and date the form.
08
Submit the completed form along with any required documentation to the appropriate authority.
09
Wait for approval/notification regarding your alternate bus waiver request.
10
Follow up with the authority if necessary.
Who needs alternate bus waiver request?
01
Anyone who has special circumstances or specific needs that make it necessary to request an alternate bus may need an alternate bus waiver request. This may include individuals with physical disabilities, medical conditions, or other valid reasons that prevent them from using the regular bus service.
Fill
form
: Try Risk Free
For pdfFiller’s FAQs
Below is a list of the most common customer questions. If you can’t find an answer to your question, please don’t hesitate to reach out to us.
How can I modify alternate bus waiver request without leaving Google Drive?
People who need to keep track of documents and fill out forms quickly can connect PDF Filler to their Google Docs account. This means that they can make, edit, and sign documents right from their Google Drive. Make your alternate bus waiver request into a fillable form that you can manage and sign from any internet-connected device with this add-on.
Where do I find alternate bus waiver request?
It's simple using pdfFiller, an online document management tool. Use our huge online form collection (over 25M fillable forms) to quickly discover the alternate bus waiver request. Open it immediately and start altering it with sophisticated capabilities.
Can I edit alternate bus waiver request on an Android device?
You can make any changes to PDF files, like alternate bus waiver request, with the help of the pdfFiller Android app. Edit, sign, and send documents right from your phone or tablet. You can use the app to make document management easier wherever you are.
What is alternate bus waiver request?
An alternate bus waiver request is a formal request submitted by a transportation provider seeking exemption or modification of specific bus service requirements under certain circumstances.
Who is required to file alternate bus waiver request?
Transportation providers who are unable to meet the regulatory bus service requirements due to unforeseen circumstances are required to file an alternate bus waiver request.
How to fill out alternate bus waiver request?
To fill out an alternate bus waiver request, accurately complete the provided application form, including details about the service, reason for the request, and any supporting documentation.
What is the purpose of alternate bus waiver request?
The purpose of the alternate bus waiver request is to allow transportation providers flexibility to adjust their service requirements in response to unexpected challenges while maintaining compliance with regulations.
What information must be reported on alternate bus waiver request?
The request must report information such as the provider's identification, detailed explanation of the issue, the specific regulations affected, and proposed alternative measures.
Fill out your alternate bus waiver request online with pdfFiller!
pdfFiller is an end-to-end solution for managing, creating, and editing documents and forms in the cloud. Save time and hassle by preparing your tax forms online.

Alternate Bus Waiver Request is not the form you're looking for?Search for another form here.
Relevant keywords
Related Forms
If you believe that this page should be taken down, please follow our DMCA take down process
here
.
This form may include fields for payment information. Data entered in these fields is not covered by PCI DSS compliance.