
Get the free DUTY STATEMENT Box reserved for Personnel Section
Show details
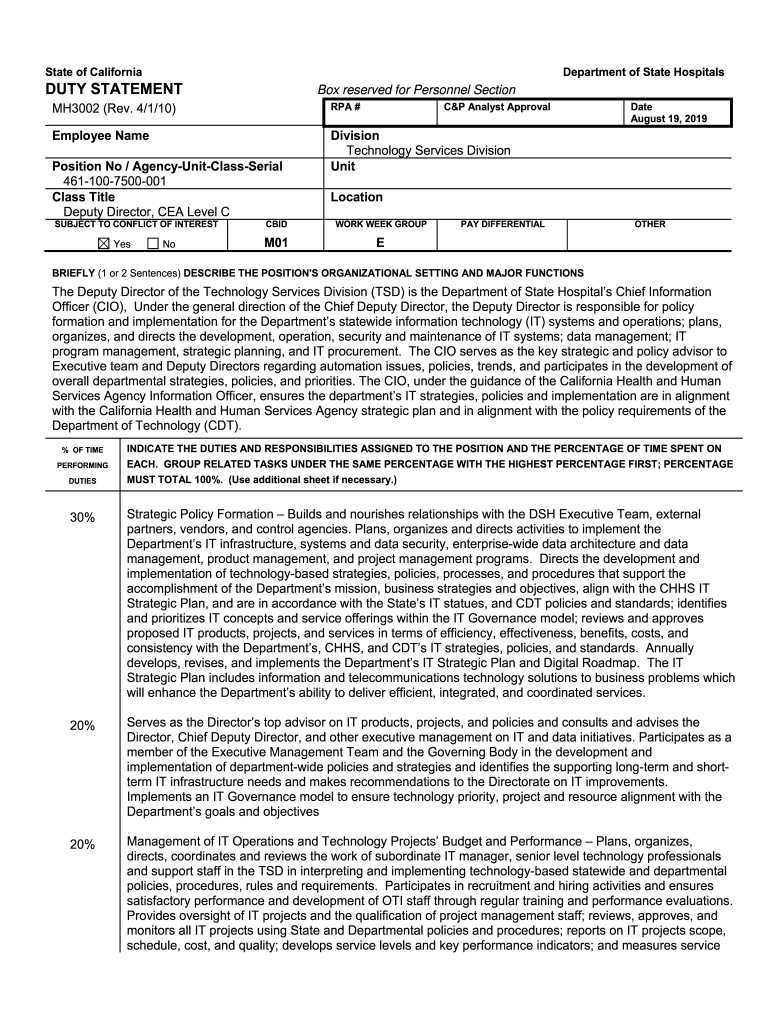
State of CaliforniaDepartment of State Hospitality Statement reserved for Personnel SectionMH3002 (Rev. 4/1/10)RPA #Employee NameDivision Technology Services Division Disposition No / AgencyUnitClassSerial
We are not affiliated with any brand or entity on this form
Get, Create, Make and Sign duty statement box reserved

Edit your duty statement box reserved form online
Type text, complete fillable fields, insert images, highlight or blackout data for discretion, add comments, and more.

Add your legally-binding signature
Draw or type your signature, upload a signature image, or capture it with your digital camera.

Share your form instantly
Email, fax, or share your duty statement box reserved form via URL. You can also download, print, or export forms to your preferred cloud storage service.
How to edit duty statement box reserved online
To use our professional PDF editor, follow these steps:
1
Log in to account. Click on Start Free Trial and register a profile if you don't have one.
2
Prepare a file. Use the Add New button to start a new project. Then, using your device, upload your file to the system by importing it from internal mail, the cloud, or adding its URL.
3
Edit duty statement box reserved. Text may be added and replaced, new objects can be included, pages can be rearranged, watermarks and page numbers can be added, and so on. When you're done editing, click Done and then go to the Documents tab to combine, divide, lock, or unlock the file.
4
Save your file. Select it from your records list. Then, click the right toolbar and select one of the various exporting options: save in numerous formats, download as PDF, email, or cloud.
The use of pdfFiller makes dealing with documents straightforward.
Uncompromising security for your PDF editing and eSignature needs
Your private information is safe with pdfFiller. We employ end-to-end encryption, secure cloud storage, and advanced access control to protect your documents and maintain regulatory compliance.
How to fill out duty statement box reserved

How to fill out duty statement box reserved
01
To fill out the duty statement box reserved, follow these steps:
02
Locate the duty statement box reserved on the form.
03
Read the instructions or guidelines provided on the form regarding the duty statement box reserved.
04
Write or type the required information in the duty statement box reserved, ensuring to provide accurate details.
05
Double-check the filled content to ensure completeness and correctness.
06
Save or submit the form according to the given instructions.
Who needs duty statement box reserved?
01
The duty statement box reserved is usually required by organizations or individuals who need to provide detailed information about their duties or responsibilities in a specific context or situation. This can include employees, job applicants, volunteers, or anyone else who is required to document their duties in a formal manner.
Fill
form
: Try Risk Free
For pdfFiller’s FAQs
Below is a list of the most common customer questions. If you can’t find an answer to your question, please don’t hesitate to reach out to us.
Can I create an eSignature for the duty statement box reserved in Gmail?
Create your eSignature using pdfFiller and then eSign your duty statement box reserved immediately from your email with pdfFiller's Gmail add-on. To keep your signatures and signed papers, you must create an account.
How can I fill out duty statement box reserved on an iOS device?
pdfFiller has an iOS app that lets you fill out documents on your phone. A subscription to the service means you can make an account or log in to one you already have. As soon as the registration process is done, upload your duty statement box reserved. You can now use pdfFiller's more advanced features, like adding fillable fields and eSigning documents, as well as accessing them from any device, no matter where you are in the world.
Can I edit duty statement box reserved on an Android device?
You can edit, sign, and distribute duty statement box reserved on your mobile device from anywhere using the pdfFiller mobile app for Android; all you need is an internet connection. Download the app and begin streamlining your document workflow from anywhere.
What is duty statement box reserved?
The duty statement box reserved is a specific section on a legal or tax document that is set aside for recording various duties or fees applicable to a transaction or filing.
Who is required to file duty statement box reserved?
Individuals or businesses that are subject to duties or fees as part of a legal or regulatory requirement must file in the duty statement box reserved.
How to fill out duty statement box reserved?
To fill out the duty statement box reserved, individuals should accurately enter the applicable duty amounts, ensure proper documentation, and follow any specific guidelines provided for the form.
What is the purpose of duty statement box reserved?
The purpose of the duty statement box reserved is to collect and record relevant information about duties or fees for regulatory compliance and assessment.
What information must be reported on duty statement box reserved?
Information that must be reported includes the type of duty or fee, the amount due, the relevant dates, and any identifying numbers or codes associated with the transaction.
Fill out your duty statement box reserved online with pdfFiller!
pdfFiller is an end-to-end solution for managing, creating, and editing documents and forms in the cloud. Save time and hassle by preparing your tax forms online.

Duty Statement Box Reserved is not the form you're looking for?Search for another form here.
Relevant keywords
Related Forms
If you believe that this page should be taken down, please follow our DMCA take down process
here
.
This form may include fields for payment information. Data entered in these fields is not covered by PCI DSS compliance.