Get the free SAFE Special Investigator
Show details
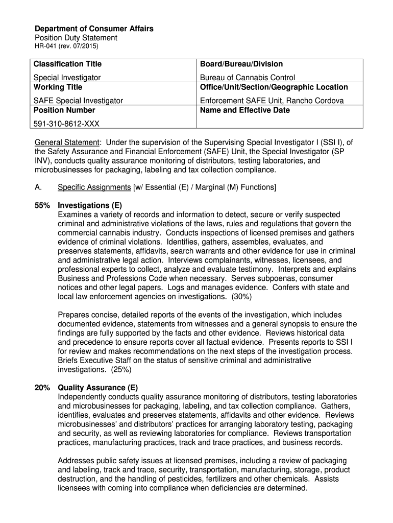
Department of Consumer Affairs
Position Duty Statement
HR041 (rev. 07/2015)Classification Billboard/Bureau/DivisionSpecial Investigator
Working TitleBureau of Cannabis Control
Office/Unit/Section/Geographic
We are not affiliated with any brand or entity on this form
Get, Create, Make and Sign safe special investigator
Edit your safe special investigator form online
Type text, complete fillable fields, insert images, highlight or blackout data for discretion, add comments, and more.
Add your legally-binding signature
Draw or type your signature, upload a signature image, or capture it with your digital camera.
Share your form instantly
Email, fax, or share your safe special investigator form via URL. You can also download, print, or export forms to your preferred cloud storage service.
How to edit safe special investigator online
Follow the steps down below to use a professional PDF editor:
1
Create an account. Begin by choosing Start Free Trial and, if you are a new user, establish a profile.
2
Simply add a document. Select Add New from your Dashboard and import a file into the system by uploading it from your device or importing it via the cloud, online, or internal mail. Then click Begin editing.
3
Edit safe special investigator. Add and change text, add new objects, move pages, add watermarks and page numbers, and more. Then click Done when you're done editing and go to the Documents tab to merge or split the file. If you want to lock or unlock the file, click the lock or unlock button.
4
Save your file. Select it from your list of records. Then, move your cursor to the right toolbar and choose one of the exporting options. You can save it in multiple formats, download it as a PDF, send it by email, or store it in the cloud, among other things.
It's easier to work with documents with pdfFiller than you can have ever thought. Sign up for a free account to view.
Uncompromising security for your PDF editing and eSignature needs
Your private information is safe with pdfFiller. We employ end-to-end encryption, secure cloud storage, and advanced access control to protect your documents and maintain regulatory compliance.
How to fill out safe special investigator
How to fill out safe special investigator
01
To fill out a safe special investigator form, follow these steps:
02
Start by collecting all the necessary information about the individual or organization you are investigating.
03
Begin the form by providing your own personal information, including your name, contact details, and any relevant professional credentials.
04
Next, specify the purpose of the investigation and provide a detailed explanation of why a safe special investigator is needed in this case.
05
In the form, include a section to outline the scope of the investigation, such as the specific areas or individuals that will be investigated.
06
Provide any additional information or supporting documents that may be relevant to the investigation.
07
Make sure to review the form for completeness and accuracy before submitting it.
08
Finally, submit the filled-out safe special investigator form to the appropriate authorities or department responsible for processing such requests.
Who needs safe special investigator?
01
Safe special investigators may be needed by individuals, organizations, or government agencies that require professional assistance in conducting investigations with a focus on safety and security.
02
Some examples of those who may need a safe special investigator include:
03
- Law enforcement agencies investigating complex criminal cases
04
- Private individuals seeking professional assistance in personal safety matters
05
- Government agencies or organizations conducting internal investigations to ensure compliance with safety regulations and protocols
06
- Insurance companies investigating potential fraudulent claims
07
- Corporations or businesses conducting background checks on potential employees or business partners
08
- Legal teams gathering evidence and conducting investigations for court cases involving safety or security issues.
09
These are just a few examples, and the need for a safe special investigator can vary based on specific circumstances and requirements.
Fill
form
: Try Risk Free
For pdfFiller’s FAQs
Below is a list of the most common customer questions. If you can’t find an answer to your question, please don’t hesitate to reach out to us.
How do I edit safe special investigator on an iOS device?
Yes, you can. With the pdfFiller mobile app, you can instantly edit, share, and sign safe special investigator on your iOS device. Get it at the Apple Store and install it in seconds. The application is free, but you will have to create an account to purchase a subscription or activate a free trial.
How can I fill out safe special investigator on an iOS device?
pdfFiller has an iOS app that lets you fill out documents on your phone. A subscription to the service means you can make an account or log in to one you already have. As soon as the registration process is done, upload your safe special investigator. You can now use pdfFiller's more advanced features, like adding fillable fields and eSigning documents, as well as accessing them from any device, no matter where you are in the world.
Can I edit safe special investigator on an Android device?
Yes, you can. With the pdfFiller mobile app for Android, you can edit, sign, and share safe special investigator on your mobile device from any location; only an internet connection is needed. Get the app and start to streamline your document workflow from anywhere.
What is safe special investigator?
A SAFE Special Investigator is a designated official responsible for investigating compliance with SAFE Act regulations and ensuring that individuals or entities involved in mortgage lending are adhering to the standards set forth.
Who is required to file safe special investigator?
Individuals or entities that are involved in mortgage lending activities and are required to demonstrate compliance with the SAFE Act must file the SAFE Special Investigator.
How to fill out safe special investigator?
To fill out a SAFE Special Investigator, applicants should provide accurate information regarding their identity, license details, the nature of their investigatory activities, and any relevant documentation that supports their compliance.
What is the purpose of safe special investigator?
The purpose of the SAFE Special Investigator is to enhance consumer protection by ensuring that all mortgage lending practices are conducted ethically and in accordance with federal and state regulations.
What information must be reported on safe special investigator?
The SAFE Special Investigator must report personal identification information, licensing details, findings from investigations, any compliance issues, and other relevant data regarding mortgage lending practices.
Fill out your safe special investigator online with pdfFiller!
pdfFiller is an end-to-end solution for managing, creating, and editing documents and forms in the cloud. Save time and hassle by preparing your tax forms online.
Safe Special Investigator is not the form you're looking for?Search for another form here.
Relevant keywords
Related Forms
If you believe that this page should be taken down, please follow our DMCA take down process
here
.
This form may include fields for payment information. Data entered in these fields is not covered by PCI DSS compliance.