
Get the free Begin your letter here - Genesee Intermediate School
Show details
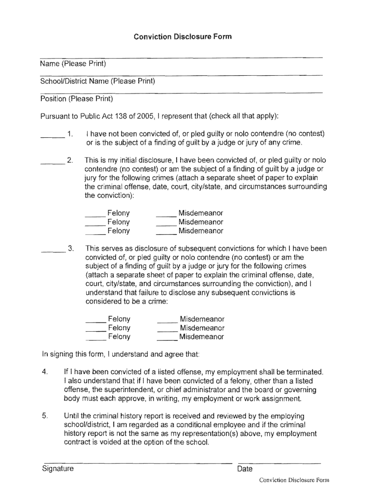
Conviction Disclosure Forename (Please School/District Name (Please Print) Position (Please Print) Pursuant to Public Act 138 of 2005, I represent that (check all that apply): 1. I have not been convicted
We are not affiliated with any brand or entity on this form
Get, Create, Make and Sign begin your letter here

Edit your begin your letter here form online
Type text, complete fillable fields, insert images, highlight or blackout data for discretion, add comments, and more.

Add your legally-binding signature
Draw or type your signature, upload a signature image, or capture it with your digital camera.

Share your form instantly
Email, fax, or share your begin your letter here form via URL. You can also download, print, or export forms to your preferred cloud storage service.
Editing begin your letter here online
Here are the steps you need to follow to get started with our professional PDF editor:
1
Check your account. If you don't have a profile yet, click Start Free Trial and sign up for one.
2
Upload a file. Select Add New on your Dashboard and upload a file from your device or import it from the cloud, online, or internal mail. Then click Edit.
3
Edit begin your letter here. Rearrange and rotate pages, add new and changed texts, add new objects, and use other useful tools. When you're done, click Done. You can use the Documents tab to merge, split, lock, or unlock your files.
4
Get your file. When you find your file in the docs list, click on its name and choose how you want to save it. To get the PDF, you can save it, send an email with it, or move it to the cloud.
With pdfFiller, it's always easy to deal with documents.
Uncompromising security for your PDF editing and eSignature needs
Your private information is safe with pdfFiller. We employ end-to-end encryption, secure cloud storage, and advanced access control to protect your documents and maintain regulatory compliance.
How to fill out begin your letter here

How to fill out begin your letter here
01
To fill out begin your letter here, follow these steps:
02
Start by writing your full name and contact information at the top of the letter.
03
Skip a line and write the date on which you are writing the letter.
04
Skip another line and write the recipient's name and address.
05
Write a salutation or greeting at the beginning of the letter.
06
Begin the body of the letter with an introduction, stating the purpose of the letter.
07
Use clear and concise language to communicate your message.
08
Organize your thoughts and ideas into paragraphs, using proper punctuation.
09
Conclude the letter with a closing statement and your name.
10
Sign your name beneath the closing statement if it is a handwritten letter.
11
Proofread your letter for any grammatical or spelling errors before sending it.
Who needs begin your letter here?
01
Anyone who wants to communicate in writing can use begin your letter here. It is commonly used for various purposes such as job applications, business communication, personal letters, and more.
Fill
form
: Try Risk Free
For pdfFiller’s FAQs
Below is a list of the most common customer questions. If you can’t find an answer to your question, please don’t hesitate to reach out to us.
How do I make edits in begin your letter here without leaving Chrome?
Install the pdfFiller Chrome Extension to modify, fill out, and eSign your begin your letter here, which you can access right from a Google search page. Fillable documents without leaving Chrome on any internet-connected device.
Can I create an eSignature for the begin your letter here in Gmail?
Create your eSignature using pdfFiller and then eSign your begin your letter here immediately from your email with pdfFiller's Gmail add-on. To keep your signatures and signed papers, you must create an account.
Can I edit begin your letter here on an Android device?
You can. With the pdfFiller Android app, you can edit, sign, and distribute begin your letter here from anywhere with an internet connection. Take use of the app's mobile capabilities.
What is begin your letter here?
Begin your letter here is a placeholder for the specific subject or document that needs to be addressed. It typically refers to the introductory part of a formal letter or request.
Who is required to file begin your letter here?
Individuals or entities that are specified by the governing regulations are required to file begin your letter here, which often includes businesses or individuals engaged in specific activities that require documentation.
How to fill out begin your letter here?
To fill out begin your letter here, one should follow the provided guidelines or instructions, ensuring that all required information is accurately completed and organized according to the designated format.
What is the purpose of begin your letter here?
The purpose of begin your letter here is to formally communicate important information, submit necessary documentation, or fulfill a regulatory requirement within a specific context.
What information must be reported on begin your letter here?
The information required to be reported on begin your letter here generally includes identification details, relevant dates, transaction information, and any other specifics that pertain to the situation being addressed.
Fill out your begin your letter here online with pdfFiller!
pdfFiller is an end-to-end solution for managing, creating, and editing documents and forms in the cloud. Save time and hassle by preparing your tax forms online.

Begin Your Letter Here is not the form you're looking for?Search for another form here.
Relevant keywords
Related Forms
If you believe that this page should be taken down, please follow our DMCA take down process
here
.
This form may include fields for payment information. Data entered in these fields is not covered by PCI DSS compliance.