
Get the free Meal Plan Policies
Show details
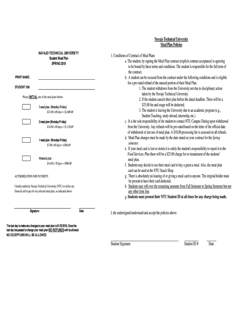
Navajo Technical University
Meal Plan Policies
NAVAJO TECHNO CAL UNI VERSE TY
Student Meal Plan
PRI NG 20191. Conditions of Contract of Meal Plans
a. The student, by signing the Meal Plan contract
We are not affiliated with any brand or entity on this form
Get, Create, Make and Sign meal plan policies

Edit your meal plan policies form online
Type text, complete fillable fields, insert images, highlight or blackout data for discretion, add comments, and more.

Add your legally-binding signature
Draw or type your signature, upload a signature image, or capture it with your digital camera.

Share your form instantly
Email, fax, or share your meal plan policies form via URL. You can also download, print, or export forms to your preferred cloud storage service.
Editing meal plan policies online
Follow the guidelines below to benefit from a competent PDF editor:
1
Log in to account. Click on Start Free Trial and sign up a profile if you don't have one yet.
2
Upload a file. Select Add New on your Dashboard and upload a file from your device or import it from the cloud, online, or internal mail. Then click Edit.
3
Edit meal plan policies. Rearrange and rotate pages, insert new and alter existing texts, add new objects, and take advantage of other helpful tools. Click Done to apply changes and return to your Dashboard. Go to the Documents tab to access merging, splitting, locking, or unlocking functions.
4
Get your file. Select the name of your file in the docs list and choose your preferred exporting method. You can download it as a PDF, save it in another format, send it by email, or transfer it to the cloud.
With pdfFiller, dealing with documents is always straightforward.
Uncompromising security for your PDF editing and eSignature needs
Your private information is safe with pdfFiller. We employ end-to-end encryption, secure cloud storage, and advanced access control to protect your documents and maintain regulatory compliance.
How to fill out meal plan policies

How to fill out meal plan policies
01
Read the meal plan policies carefully to understand the guidelines and rules.
02
Determine the meal plan option that best suits your needs.
03
Complete the required forms or applications for the chosen meal plan.
04
Provide any necessary documentation or information as requested.
05
Submit the filled-out forms and required documents to the designated office or department.
06
Pay any applicable fees or charges associated with the meal plan.
07
Familiarize yourself with the meal plan policies regarding meal times, dining locations, and any restrictions or limitations.
08
Follow the meal plan policies throughout the designated period, adhering to the guidelines and rules specified.
09
Keep track of any changes or updates to the meal plan policies and comply with them accordingly.
10
Seek assistance or clarification from the appropriate authority if you have any questions or concerns regarding the meal plan policies.
Who needs meal plan policies?
01
Meal plan policies are typically required for individuals who are part of a university or college dining program.
02
Students who live on campus and have a mandatory meal plan are required to follow the meal plan policies.
03
Faculty, staff, or visitors who opt for a voluntary meal plan may also need to adhere to the meal plan policies set by the institution.
04
Anyone who wishes to avail the dining services provided by an establishment that has meal plan policies in place would need to comply with those policies.
Fill
form
: Try Risk Free
For pdfFiller’s FAQs
Below is a list of the most common customer questions. If you can’t find an answer to your question, please don’t hesitate to reach out to us.
How do I complete meal plan policies on an iOS device?
pdfFiller has an iOS app that lets you fill out documents on your phone. A subscription to the service means you can make an account or log in to one you already have. As soon as the registration process is done, upload your meal plan policies. You can now use pdfFiller's more advanced features, like adding fillable fields and eSigning documents, as well as accessing them from any device, no matter where you are in the world.
Can I edit meal plan policies on an Android device?
You can. With the pdfFiller Android app, you can edit, sign, and distribute meal plan policies from anywhere with an internet connection. Take use of the app's mobile capabilities.
How do I complete meal plan policies on an Android device?
On an Android device, use the pdfFiller mobile app to finish your meal plan policies. The program allows you to execute all necessary document management operations, such as adding, editing, and removing text, signing, annotating, and more. You only need a smartphone and an internet connection.
What is meal plan policies?
Meal plan policies outline the guidelines and rules governing the operation and administration of meal plans offered by educational institutions or organizations. They include details on eligibility, services provided, and user responsibilities.
Who is required to file meal plan policies?
Educational institutions and organizations that offer meal plans to students or members are typically required to file meal plan policies to ensure compliance with regulations and standards.
How to fill out meal plan policies?
Filling out meal plan policies typically involves providing detailed information regarding the meal plan structure, pricing, eligibility criteria, and service offerings. Institutions must follow a standardized format required by regulatory bodies.
What is the purpose of meal plan policies?
The purpose of meal plan policies is to establish clear guidelines and expectations for meal services, ensure transparency, help manage resources effectively, and protect the rights of users.
What information must be reported on meal plan policies?
Information that must be reported on meal plan policies includes the types of meal plans available, pricing, duration, eligibility requirements, cancellation policies, and services included.
Fill out your meal plan policies online with pdfFiller!
pdfFiller is an end-to-end solution for managing, creating, and editing documents and forms in the cloud. Save time and hassle by preparing your tax forms online.

Meal Plan Policies is not the form you're looking for?Search for another form here.
Relevant keywords
Related Forms
If you believe that this page should be taken down, please follow our DMCA take down process
here
.
This form may include fields for payment information. Data entered in these fields is not covered by PCI DSS compliance.