
Get the free FAMILY SHOW LICENSE AGREEMENT
Show details
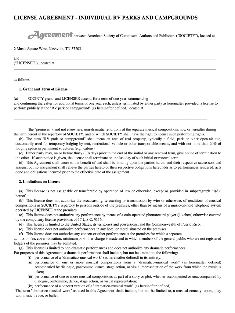
LICENSE AGREEMENT INDIVIDUAL RV PARKS AND CAMPGROUNDSAgreement between American Society of Composers, Authors and Publishers (“SOCIETY “), located at 2 Music Square West, Nashville, TN 37203 and
We are not affiliated with any brand or entity on this form
Get, Create, Make and Sign family show license agreement

Edit your family show license agreement form online
Type text, complete fillable fields, insert images, highlight or blackout data for discretion, add comments, and more.

Add your legally-binding signature
Draw or type your signature, upload a signature image, or capture it with your digital camera.

Share your form instantly
Email, fax, or share your family show license agreement form via URL. You can also download, print, or export forms to your preferred cloud storage service.
How to edit family show license agreement online
Use the instructions below to start using our professional PDF editor:
1
Create an account. Begin by choosing Start Free Trial and, if you are a new user, establish a profile.
2
Upload a file. Select Add New on your Dashboard and upload a file from your device or import it from the cloud, online, or internal mail. Then click Edit.
3
Edit family show license agreement. Rearrange and rotate pages, add new and changed texts, add new objects, and use other useful tools. When you're done, click Done. You can use the Documents tab to merge, split, lock, or unlock your files.
4
Get your file. Select your file from the documents list and pick your export method. You may save it as a PDF, email it, or upload it to the cloud.
With pdfFiller, it's always easy to work with documents. Try it out!
Uncompromising security for your PDF editing and eSignature needs
Your private information is safe with pdfFiller. We employ end-to-end encryption, secure cloud storage, and advanced access control to protect your documents and maintain regulatory compliance.
How to fill out family show license agreement

How to fill out family show license agreement
01
To fill out a family show license agreement, follow these steps:
02
Start by downloading the family show license agreement form from a reliable source or website.
03
Read the agreement thoroughly to understand the terms and conditions mentioned in it.
04
Provide the necessary details of the family show, such as the name and location of the show, date and time of the performance, and any other relevant information.
05
Clearly indicate the roles and responsibilities of each party involved, such as the organizer, performers, or participants.
06
Specify the licensing period and any restrictions or limitations on the use of the show.
07
Include information about any fees or royalties associated with the licensing agreement.
08
Seek legal advice if needed to ensure compliance with local laws and regulations.
09
Review the completed agreement and make sure all the information provided is accurate.
10
Sign the agreement along with all the involved parties, and keep a copy for future reference.
11
It is advisable to consult with a lawyer or legal professional to ensure the agreement is properly drafted and meets your specific requirements.
Who needs family show license agreement?
01
Family show organizers, event planners, production companies, or individuals hosting a family-oriented event that involves performances or entertainment may need a family show license agreement.
02
The agreement helps establish the terms and conditions under which the show or performance can be used, ensuring proper attribution, intellectual property protection, and compliance with legal requirements.
03
Having a family show license agreement can provide protection for both the organizers and performers, clarify payment terms, define usage rights, and protect intellectual property rights associated with the show.
04
Therefore, anyone involved in organizing or hosting a family show should consider having a family show license agreement in place to protect the rights and interests of all parties involved.
Fill
form
: Try Risk Free
For pdfFiller’s FAQs
Below is a list of the most common customer questions. If you can’t find an answer to your question, please don’t hesitate to reach out to us.
How can I send family show license agreement for eSignature?
When your family show license agreement is finished, send it to recipients securely and gather eSignatures with pdfFiller. You may email, text, fax, mail, or notarize a PDF straight from your account. Create an account today to test it.
How do I edit family show license agreement on an iOS device?
You certainly can. You can quickly edit, distribute, and sign family show license agreement on your iOS device with the pdfFiller mobile app. Purchase it from the Apple Store and install it in seconds. The program is free, but in order to purchase a subscription or activate a free trial, you must first establish an account.
How do I fill out family show license agreement on an Android device?
Complete family show license agreement and other documents on your Android device with the pdfFiller app. The software allows you to modify information, eSign, annotate, and share files. You may view your papers from anywhere with an internet connection.
What is family show license agreement?
A family show license agreement is a legal document that outlines the terms and conditions under which a television or entertainment program intended for family viewing is licensed for broadcast or distribution.
Who is required to file family show license agreement?
Producers, distributors, and broadcasters of family shows are typically required to file a family show license agreement with the appropriate regulatory authority.
How to fill out family show license agreement?
To fill out a family show license agreement, an applicant must provide details such as the show's title, description, target audience, distribution channels, and compliance with relevant regulations.
What is the purpose of family show license agreement?
The purpose of a family show license agreement is to ensure that the content meets specific standards for family-friendly programming and to protect the rights of content creators and distributors.
What information must be reported on family show license agreement?
The information that must be reported includes the show's title, episode details, intended audience demographics, content description, licensing fees, and any regulatory compliance information.
Fill out your family show license agreement online with pdfFiller!
pdfFiller is an end-to-end solution for managing, creating, and editing documents and forms in the cloud. Save time and hassle by preparing your tax forms online.

Family Show License Agreement is not the form you're looking for?Search for another form here.
Relevant keywords
Related Forms
If you believe that this page should be taken down, please follow our DMCA take down process
here
.
This form may include fields for payment information. Data entered in these fields is not covered by PCI DSS compliance.