
Get the free agreement for interagency services - TransACT EduPortal
Show details
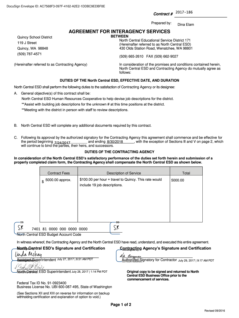
DocuSign Envelope ID: AC7568F3097F4162A2E21DDBC9EDBF8EContract #
Prepared by:AGREEMENT FOR INTERAGENCY SERVICES
BETWEEN
North Central Educational Service District 171
(Hereinafter referred to as North
We are not affiliated with any brand or entity on this form
Get, Create, Make and Sign agreement for interagency services

Edit your agreement for interagency services form online
Type text, complete fillable fields, insert images, highlight or blackout data for discretion, add comments, and more.

Add your legally-binding signature
Draw or type your signature, upload a signature image, or capture it with your digital camera.

Share your form instantly
Email, fax, or share your agreement for interagency services form via URL. You can also download, print, or export forms to your preferred cloud storage service.
How to edit agreement for interagency services online
In order to make advantage of the professional PDF editor, follow these steps below:
1
Create an account. Begin by choosing Start Free Trial and, if you are a new user, establish a profile.
2
Simply add a document. Select Add New from your Dashboard and import a file into the system by uploading it from your device or importing it via the cloud, online, or internal mail. Then click Begin editing.
3
Edit agreement for interagency services. Add and replace text, insert new objects, rearrange pages, add watermarks and page numbers, and more. Click Done when you are finished editing and go to the Documents tab to merge, split, lock or unlock the file.
4
Save your file. Select it from your list of records. Then, move your cursor to the right toolbar and choose one of the exporting options. You can save it in multiple formats, download it as a PDF, send it by email, or store it in the cloud, among other things.
With pdfFiller, it's always easy to work with documents. Try it!
Uncompromising security for your PDF editing and eSignature needs
Your private information is safe with pdfFiller. We employ end-to-end encryption, secure cloud storage, and advanced access control to protect your documents and maintain regulatory compliance.
How to fill out agreement for interagency services

How to fill out agreement for interagency services
01
First, gather all necessary information and documentation related to the interagency services.
02
Read and understand the terms and conditions stated in the agreement.
03
Fill out the header section of the agreement, including the names and contact details of the involved agencies.
04
Specify the purpose and scope of the interagency services in the agreement.
05
Provide a detailed description of the responsibilities and obligations of each agency involved.
06
Include any specific timelines or deadlines for the provision of services.
07
Address any financial aspects, such as payment terms and reimbursement procedures.
08
Incorporate any necessary provisions for confidentiality or data protection.
09
Review the agreement to ensure accuracy and clarity.
10
Have representatives from each agency sign and date the agreement.
11
Keep a copy of the fully executed agreement for reference and record-keeping purposes.
Who needs agreement for interagency services?
01
Government agencies or departments that collaborate or work together to provide services.
02
Non-profit organizations partnering with other entities for joint service delivery.
03
Private companies entering into agreements with government entities for shared services.
04
Any organization seeking to establish a formal framework for interagency cooperation and coordination.
Fill
form
: Try Risk Free
For pdfFiller’s FAQs
Below is a list of the most common customer questions. If you can’t find an answer to your question, please don’t hesitate to reach out to us.
How do I modify my agreement for interagency services in Gmail?
In your inbox, you may use pdfFiller's add-on for Gmail to generate, modify, fill out, and eSign your agreement for interagency services and any other papers you receive, all without leaving the program. Install pdfFiller for Gmail from the Google Workspace Marketplace by visiting this link. Take away the need for time-consuming procedures and handle your papers and eSignatures with ease.
How can I edit agreement for interagency services from Google Drive?
By combining pdfFiller with Google Docs, you can generate fillable forms directly in Google Drive. No need to leave Google Drive to make edits or sign documents, including agreement for interagency services. Use pdfFiller's features in Google Drive to handle documents on any internet-connected device.
How do I complete agreement for interagency services on an iOS device?
Install the pdfFiller iOS app. Log in or create an account to access the solution's editing features. Open your agreement for interagency services by uploading it from your device or online storage. After filling in all relevant fields and eSigning if required, you may save or distribute the document.
What is agreement for interagency services?
An agreement for interagency services is a formal document that outlines the terms and conditions under which multiple agencies collaborate to provide services or resources to each other.
Who is required to file agreement for interagency services?
Typically, government agencies and departments that enter into collaborative or shared service arrangements are required to file an agreement for interagency services.
How to fill out agreement for interagency services?
To fill out the agreement for interagency services, agencies must provide relevant details such as the names of the parties involved, the specific services to be rendered, the duration of the agreement, and any financial arrangements. This document must be completed and signed by authorized representatives.
What is the purpose of agreement for interagency services?
The purpose of the agreement for interagency services is to facilitate cooperation, ensure accountability, and clarify the expectations and responsibilities of each agency involved in the service provision.
What information must be reported on agreement for interagency services?
The agreement must report information including the names of the involved agencies, description of services, responsibilities of each party, the effective date, duration of the agreement, and any funding or cost-sharing arrangements.
Fill out your agreement for interagency services online with pdfFiller!
pdfFiller is an end-to-end solution for managing, creating, and editing documents and forms in the cloud. Save time and hassle by preparing your tax forms online.

Agreement For Interagency Services is not the form you're looking for?Search for another form here.
Relevant keywords
Related Forms
If you believe that this page should be taken down, please follow our DMCA take down process
here
.
This form may include fields for payment information. Data entered in these fields is not covered by PCI DSS compliance.