Get the free EDUC 410: Practicum 3/Technology Applications Checklist ...
Show details
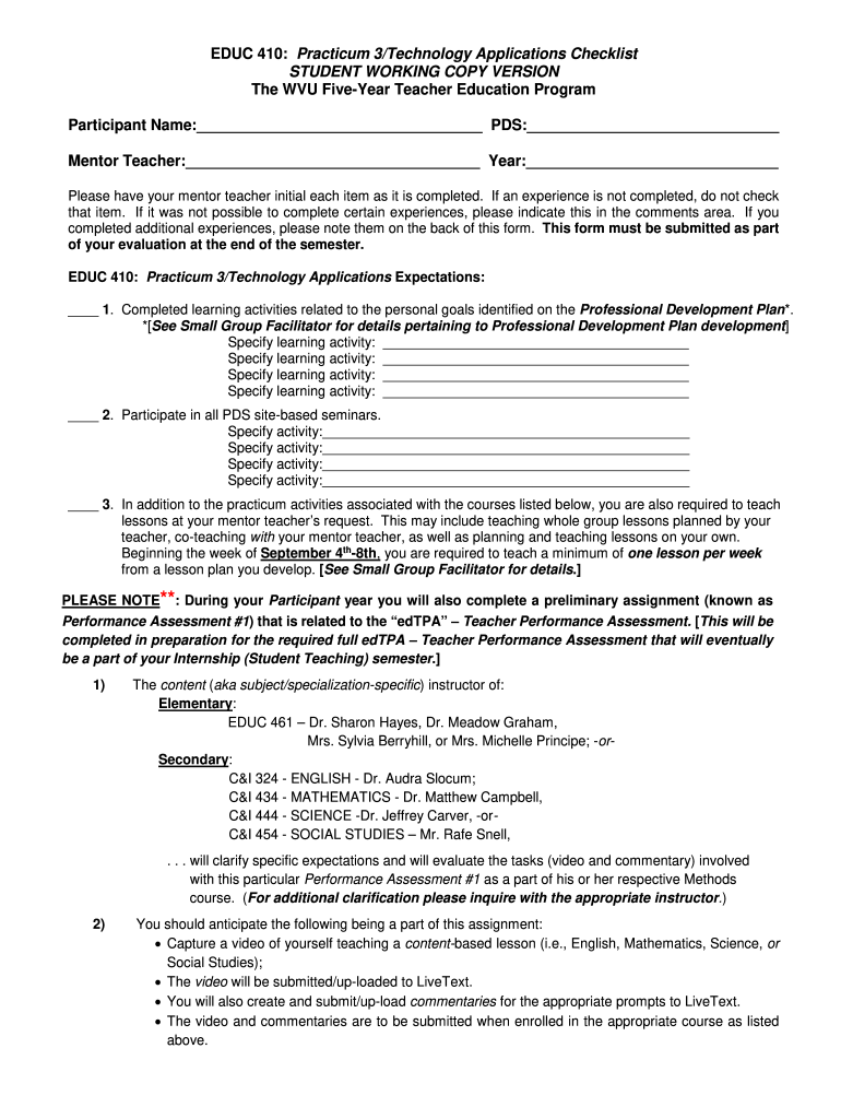
EDUC 410: Practicum 3/Technology Applications Checklist STUDENT WORKING COPY VERSION The WSU Livelier Teacher Education Program Participant Name: PDS: Mentor Teacher: Year: Please have your mentor
We are not affiliated with any brand or entity on this form
Get, Create, Make and Sign educ 410 practicum 3technology
Edit your educ 410 practicum 3technology form online
Type text, complete fillable fields, insert images, highlight or blackout data for discretion, add comments, and more.
Add your legally-binding signature
Draw or type your signature, upload a signature image, or capture it with your digital camera.
Share your form instantly
Email, fax, or share your educ 410 practicum 3technology form via URL. You can also download, print, or export forms to your preferred cloud storage service.
How to edit educ 410 practicum 3technology online
Follow the guidelines below to benefit from a competent PDF editor:
1
Check your account. If you don't have a profile yet, click Start Free Trial and sign up for one.
2
Simply add a document. Select Add New from your Dashboard and import a file into the system by uploading it from your device or importing it via the cloud, online, or internal mail. Then click Begin editing.
3
Edit educ 410 practicum 3technology. Rearrange and rotate pages, add new and changed texts, add new objects, and use other useful tools. When you're done, click Done. You can use the Documents tab to merge, split, lock, or unlock your files.
4
Save your file. Select it from your records list. Then, click the right toolbar and select one of the various exporting options: save in numerous formats, download as PDF, email, or cloud.
With pdfFiller, it's always easy to deal with documents.
Uncompromising security for your PDF editing and eSignature needs
Your private information is safe with pdfFiller. We employ end-to-end encryption, secure cloud storage, and advanced access control to protect your documents and maintain regulatory compliance.
How to fill out educ 410 practicum 3technology
How to fill out educ 410 practicum 3technology
01
Start by reading the instructions on the educ 410 practicum 3technology form.
02
Gather all the necessary information and documents required to fill out the form.
03
Begin filling out the form by providing your personal details, such as your name, contact information, and student ID.
04
Follow the prompts on the form to input information about the specific technology you will be using for the practicum.
05
Be sure to provide accurate details about the technology, including the make, model, and any relevant specifications.
06
If there are any additional questions or sections on the form, carefully read and answer them accordingly.
07
Double-check all the information you have entered to ensure its accuracy and completeness.
08
Once you have finished filling out the form, review it one last time to ensure everything is correct.
09
Sign and date the form as required, and make a copy for your records.
10
Submit the filled-out educ 410 practicum 3technology form to the appropriate department or faculty advisor.
11
Follow up with the department or faculty advisor to confirm that your form has been received and processed.
Who needs educ 410 practicum 3technology?
01
Educ 410 practicum 3technology is usually required by students who are enrolled in a technology-focused educational program or course.
02
It is specifically designed for those who need to complete a practicum experience related to technology.
03
This form ensures that the student has the necessary equipment and technology knowledge required to successfully complete their practicum.
04
Typically, students pursuing degrees in fields like computer science, information technology, or educational technology will need to complete this form.
Fill
form
: Try Risk Free
For pdfFiller’s FAQs
Below is a list of the most common customer questions. If you can’t find an answer to your question, please don’t hesitate to reach out to us.
How do I execute educ 410 practicum 3technology online?
Easy online educ 410 practicum 3technology completion using pdfFiller. Also, it allows you to legally eSign your form and change original PDF material. Create a free account and manage documents online.
How do I complete educ 410 practicum 3technology on an iOS device?
Install the pdfFiller app on your iOS device to fill out papers. Create an account or log in if you already have one. After registering, upload your educ 410 practicum 3technology. You may now use pdfFiller's advanced features like adding fillable fields and eSigning documents from any device, anywhere.
How do I edit educ 410 practicum 3technology on an Android device?
With the pdfFiller mobile app for Android, you may make modifications to PDF files such as educ 410 practicum 3technology. Documents may be edited, signed, and sent directly from your mobile device. Install the app and you'll be able to manage your documents from anywhere.
What is educ 410 practicum 3technology?
EDUC 410 Practicum 3 Technology is a course designed for students to gain practical experience in the application of technology within educational settings.
Who is required to file educ 410 practicum 3technology?
Students enrolled in EDUC 410 Practicum 3 Technology as part of their degree program are required to file.
How to fill out educ 410 practicum 3technology?
To fill out EDUC 410 Practicum 3 Technology, students must complete specific forms provided by their institution, detailing their practicum experience, objectives, and reflections.
What is the purpose of educ 410 practicum 3technology?
The purpose of EDUC 410 Practicum 3 Technology is to provide students with hands-on experience and to help them integrate technology into their teaching practices.
What information must be reported on educ 410 practicum 3technology?
Students must report their practicum activities, objectives met, technologies used, and reflections on their learning experience.
Fill out your educ 410 practicum 3technology online with pdfFiller!
pdfFiller is an end-to-end solution for managing, creating, and editing documents and forms in the cloud. Save time and hassle by preparing your tax forms online.
Educ 410 Practicum 3technology is not the form you're looking for?Search for another form here.
Relevant keywords
Related Forms
If you believe that this page should be taken down, please follow our DMCA take down process
here
.
This form may include fields for payment information. Data entered in these fields is not covered by PCI DSS compliance.